MHB 1.8.6 AP calculus Exam continuity

karush
Gold Member
MHB
Messages
3,240
Reaction score
5
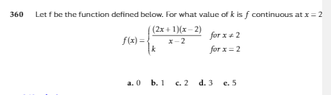
View attachment 9447
well just by observation $x-2$ cancels out leaving $2x+1$ plugging in $2$ gives $2(2)+1 = 5$

or is there some more anointed way to do this.
 

Attachments

  • Capture.PNG
    Capture.PNG
    2.7 KB · Views: 130
Last edited:
Physics news on Phys.org
Not really a fan of this explanation.

I want to know why

$\dfrac{(2x+1)(x-2)}{x-2}$

is NOT EXACTLY THE SAME as

$(2x+1)$
 
I assume its about k

Always thought filling a hole was more rigorous
 
definition of continuity at $x=c$ ...

1. $f(c)$ exists

2. $\displaystyle \lim_{x \to c} f(x)$ exists

3. $\displaystyle \lim_{x \to c} f(x) = f(c)$
 
I shall personally anoint this:
The definition of "continuous" is "f is continuous at x= a if and only if both f(a) and \lim_{x\to a} f(x) exist and
\lim_{x\to a} f(x)= f(a)". Further
\lim_{x\to a} f(x)= L is defined by "given any \epsilon> 0, there exist \delta> 0 such that if 0< |x- a|< \delta then |f(x)- L|< \epsilon.

Note the "0< |x- a|" which perhaps should be given more emphasis in math classes. The value of \lim_{x\to a} f(x) depends entirely upon the values of f(x) for x close to x= a, but the value of f(a), or even whether it exists, is completely irrelevant to the limit!

For this problem, as long as x is not 2, x- 2 is not 0 and the "x- 2" terms in numerator and denominator cancel.

That is, for x\ne 2, f(x)= \frac{(2x+1)(x- 2)}{x- 2}= 2x+1.

tkhunny said:
Not really a fan of this explanation.

I want to know why

$\dfrac{(2x+1)(x-2)}{x-2}$

is NOT EXACTLY THE SAME as

$(2x+1)$
They are "NOT EXACTLY THE SAME" because the second has value 5 when x= 2 and the first is not defined there. The graph of y= 2x+ 1 is a straight line while the graph of y=\frac{(2x+1)(x- 2)}{x- 2} is that same straight line except for a hole at (2, 5).


 
For original Zeta function, ζ(s)=1+1/2^s+1/3^s+1/4^s+... =1+e^(-slog2)+e^(-slog3)+e^(-slog4)+... , Re(s)>1 Riemann extended the Zeta function to the region where s≠1 using analytical extension. New Zeta function is in the form of contour integration, which appears simple but is actually more inconvenient to analyze than the original Zeta function. The original Zeta function already contains all the information about the distribution of prime numbers. So we only handle with original Zeta...

Similar threads

Replies
6
Views
2K
Replies
1
Views
1K
Replies
6
Views
2K
Replies
2
Views
1K
Replies
4
Views
2K
Replies
3
Views
2K
Replies
7
Views
2K
Back
Top