MHB Applying quadratic formula to inverse of a function: Calculation problem

AI Thread Summary
The discussion centers on clarifying the steps involved in applying the quadratic formula to find the inverse of a function, specifically addressing a simplification issue in a math textbook. The user initially struggles with understanding how to divide terms by -10, particularly under a square root, and how the expression simplifies from 20 to .2 while leaving (60-h) unchanged. After some reflection, the user realizes that dividing each term by -10 systematically leads to the correct simplification. The final expression shows the correct handling of the square root and the coefficients involved. This highlights the importance of following the order of operations in algebraic manipulations.
self4u
Messages
2
Reaction score
0
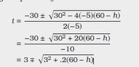
Hi - I'm trying to figure out the specific steps in a math textbook. I'm trying to figure out how the textbook did its algebra here with a quadratic formula to find an inverse of a function:

View attachment 5796

Sadly there's a step I'm supposed to know by now in the simplification algebra in there 3 steps shown...and I'm missing it.

From step 2 to step 3...it looks like only part of the equation is divided by the denominator -10. I didn't think it was possible to divide by 10 with individual numbers under the square root symbol. Furthermore - step 3 shows a reduced ".2(60-h)". How did 20 go to .2? How is (60-h) completely unaffected?

Sorry for such a simple question and thank you in advance for your help!
 

Attachments

  • quadhelp.JPG
    quadhelp.JPG
    5.2 KB · Views: 121
Mathematics news on Phys.org
Okay I think I've finally figured it out. I'm a dolt. But since I'm a dolt, I might as well post why I'm a dolt due to the order of operations.

Step 2A: Simply divide every single number by -10. So the method to get to Step 3 becomes:

a) (-30/-10) which becomes positive 3.

b) Then (30sq./-10) which becomes -3sq...then becoming 9.

c) Then (20/-10) which becomes -2.

d) Then (60/-10) which becomes -6. At this point we could multiple it with the (-2) above making positive 12.

e) Then (h/-10) which becomes -h/10. At this point we could multiple it with the (-2) above making -2/10h...simplified to -1/5h...or -.2h.

That gets to step 3...remembering to keep the square root above 21 - .2h.
 
$$\begin{align*}\dfrac{-30\pm\sqrt{30^2+20(60-h)}}{-10}&=3\pm\dfrac{\sqrt{30^2+20(60-h)}}{-1\cdot|10|} \\
&=3\pm\dfrac{\sqrt{30^2+20(60-h)}}{-1\sqrt{10^2}} \\
&=3\mp\sqrt{\dfrac{900+20(60-h)}{100}} \\
&=3\mp\sqrt{9+\dfrac15(60-h)}=3\mp\sqrt{3^2+.2(60-h)}\end{align*}$$
 
Seemingly by some mathematical coincidence, a hexagon of sides 2,2,7,7, 11, and 11 can be inscribed in a circle of radius 7. The other day I saw a math problem on line, which they said came from a Polish Olympiad, where you compute the length x of the 3rd side which is the same as the radius, so that the sides of length 2,x, and 11 are inscribed on the arc of a semi-circle. The law of cosines applied twice gives the answer for x of exactly 7, but the arithmetic is so complex that the...
Is it possible to arrange six pencils such that each one touches the other five? If so, how? This is an adaption of a Martin Gardner puzzle only I changed it from cigarettes to pencils and left out the clues because PF folks don’t need clues. From the book “My Best Mathematical and Logic Puzzles”. Dover, 1994.

Similar threads

Replies
7
Views
3K
Replies
4
Views
4K
Replies
5
Views
1K
Replies
3
Views
4K
Replies
3
Views
3K
Replies
2
Views
4K
Replies
4
Views
2K
Back
Top