Beam Expansion: Distance between 2 lenses in a Keplerian beam expander

tanhanhbi
Messages
9
Reaction score
3
Homework Statement
Determine the optical distance d between the lenses such that the distance z′ to the waist of the final beam is as large as possible.
Relevant Equations
Gaussian beam
1694753568777.png

Basically this is the Exercise In Fundamentals of Photonics book.
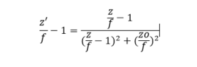
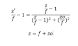
We also need to use these two equation (1) and (2)
1694757157317.png

As we all know, in order to make the z' as far as possible, we must place 2 lens with this distance
1694754359557.png

I already figure that thank to the initial condition of the first lens position
1694754562581.png

So that the z1 must equal to f1
1694754616697.png

For the z2, I tried to replace zo in (2) onto (1), then take the derivative of z' with respect to z2. My initial though that let the derivative of z' equal to 0, we can find the maximal of z'. But actually after finish the derivative thing, z' do not have maximal and I already always infinity ?
1694757110830.png

So I am not sure what wrong with my thinking. If someone could give me a clue, I really appreciate it.
 

Attachments

  • 1694754075958.png
    1694754075958.png
    3.2 KB · Views: 97
  • 1694754132747.png
    1694754132747.png
    3.9 KB · Views: 104
Back
Top