Block sliding on a semicircular track with friction

  • Thread starter Thread starter zuzelle
  • Start date Start date
AI Thread Summary
The discussion revolves around analyzing a block sliding on a semicircular track with friction, focusing on the changing friction due to varying angles and velocities. The initial approach involved using differential equations for centripetal force and conservation of energy, but confusion arose regarding the resulting equations. Participants suggested avoiding differentials initially and instead applying standard work-energy principles, leading to a first-order nonlinear ordinary differential equation (ODE). The conversation emphasized the importance of using angular variables like omega instead of linear variables to simplify the analysis. Corrections were made regarding trigonometric functions in the equations, ensuring accuracy in the application of Newton's laws.
zuzelle
Messages
6
Reaction score
1
Homework Statement
A block of mass m rests at point A on a circular track of radius r with coefficient of friction u. It is then released with no initial speed. Find the dependance of velocity on angle, v(theta).
Relevant Equations
Potential Energy = mgh
Kinetic Energy = mv^2/2
Work done by a force = F*S
Centripetal force = mv^2/R
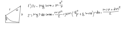
Since the friction is constantly changing because of both angle change and velocity change, I took a very small angle dθ, so that while the block is covering it, its velocity would change by dv, its height by rdθ*cosθ and the friction force wouldn't change much, because N isn't changing either.
1712748511528.png

Then, I wrote the equation for centripetal force:
N - mgsin(θ) =
1712748721092.png


FBD:
1712749914538.png


Next, I thought of writing conservation of energy for this small displacement:
Potential energy + Kinetic energy = Work by friction on this small displacement + Kinetic Energy after.

So I got this:
1712749039547.png

And I am not sure if this is right, because I end up getting an equation with differentials left, and it doesn't make sense. Could someone help, please?
 

Attachments

  • 1712748555183.png
    1712748555183.png
    7.6 KB · Views: 93
  • 1712748791367.png
    1712748791367.png
    1.9 KB · Views: 70
  • 1712748971900.png
    1712748971900.png
    7 KB · Views: 80
Last edited:
Physics news on Phys.org
Share a FBD of the block at some angle ##\theta##.
 
erobz said:
Share a FBD of the block at some angle ##\theta##.
Okay
 
zuzelle said:
Okay
Maybe dont work with the differentials in Work-Energy right away. Write Work-Energy in the standard way and differentiate w.r.t. ##\theta##. So you will have your normal terms plus an integral ( representing the work done by the friction force up to some angle ##\theta## ) in the first step. Then that result will be differentiated w.r.t ##\theta## to get the first order-nonlinear ODE.

I think it can be transformed into a linear ODE from there with a standard substition technique and solved with integration factor technique.
 
Last edited:
Excuse me for asking again, like this?
 

Attachments

  • 1712760056140.png
    1712760056140.png
    2.7 KB · Views: 97
  • 1712760876453.png
    1712760876453.png
    3.7 KB · Views: 89
Start with ##~N=mg\sin\theta +m\omega^2r.~## Using ##\omega## is preferable because linear variables (##v##) and angular variables (##\theta##) are not mixed. The force of friction is
##f_k=\mu(mg\sin\theta +m\omega^2r)## and the Newton's second law in the tangential direction of motion is
##ma_t=mr\dfrac{d\omega}{dt}=mg\cos\theta-\mu(mg\sin\theta +m\omega^2r).##
Following @erobz's suggestion
erobz said:
I think it can be transformed into a linear ODE from there with a standard substition technique and solved with integration factor technique.
##\dfrac{d\omega}{dt}=\dfrac{d\omega}{d\theta}\dfrac{d\theta}{dt}=\omega\dfrac{d\omega}{d\theta}## Now you see the reason for ditching variable ##v##. The differential equation you have to solve is $$m\omega\dfrac{d\omega}{d\theta}=mg\cos\theta-\mu(mg\sin\theta +m\omega^2r).$$ It should give you ##\omega(\theta)## from which getting ##v(\theta)## is trivial since ##r## is constant.

(Edited to fix typo in equation. See posts #10 and #11)
 
Last edited:
zuzelle said:
Excuse me for asking again, like this?
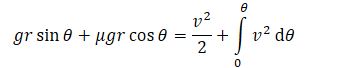
Your equation on the left becomes:

$$ 0 = -mgr \sin \theta + \frac{1}{2}m v^2 + \mu m r \int \left( \frac{v^2}{r} + g \sin \theta \right) d\theta $$

Now differentiate both sides with respect to ##\theta##.

EDIT: Going from Newtons Laws obviously works too (also more direct) as @kuruman showed.
 
Last edited:
Also, so we can quote your equations that follow, please take a moment to learn the math formatting from LaTeX Guide
 
kuruman said:
Start with ##~N=mg\sin\theta +m\omega^2r.~## Using ##\omega## is preferable because linear variables (##v##) and angular variables (##\theta##) are not mixed. The force of friction is
##f_k=\mu(mg\sin\theta +m\omega^2r)## and the Newton's second law in the tangential direction of motion is
##ma_t=mr\dfrac{d\omega}{dt}=mg\sin\theta-\mu(mg\sin\theta +m\omega^2r).##
Following @erobz's suggestion

##\dfrac{d\omega}{dt}=\dfrac{d\omega}{d\theta}\dfrac{d\theta}{dt}=\omega\dfrac{d\omega}{d\theta}## Now you see the reason for ditching variable ##v##. The differential equation you have to solve is $$m\omega\dfrac{d\omega}{d\theta}=mg\sin\theta-\mu(mg\sin\theta +m\omega^2r).$$ It should give you ##\omega(\theta)## from which getting ##v(\theta)## is trivial since ##r## is constant.
erobz said:
Your equation on the left becomes:

$$ 0 = -mgr \sin \theta + \frac{1}{2}m v^2 + \mu m r \int \left( \frac{v^2}{r} + g \sin \theta \right) d\theta $$

Now differentiate both sides with respect to ##\theta##.

EDIT: Going from Newtons Laws obviously works too as @kuruman showed.
That makes sense, thank you
 
  • #10
kuruman said:
Newton's second law in the tangential direction of motion is
##ma_t=mr\dfrac{d\omega}{dt}=mg\sin\theta-\mu(mg\sin\theta +m\omega^2r).##
Check the first term on the right side. I don't think ##\sin \theta## is the correct trig function here. For example, ##a_t## should equal ##g## at the starting point where ##\theta = 0## and ##\omega = 0##.
 
  • Like
Likes kuruman and erobz
  • #11
TSny said:
Check the first term on the right side. I don't think ##\sin \theta## is the correct trig function here. For example, ##a_t## should equal ##g## at the starting point where ##\theta = 0## and ##\omega = 0##.
Yes. One cannot have the same trig function of ##\theta## for ##N## and ##a_t## which are orthogonal. Nice catch. Typo fixed - thanks.
 
Back
Top