Can Multiple Reflections Be Eliminated Using A-Mode Imaging in Ultrasound?

AI Thread Summary
Multiple reflections in ultrasound occur when sound waves reflect multiple times before being detected, and calculations must consider total travel times under 200 μs. The discussion revolves around determining whether the calculated travel times account for these multiple reflections correctly. Participants clarify that the focus should be on finding cases of multiple reflections that still fall within the specified time limit. There is also confusion regarding the calculation of echo arrival times, with guidance provided on how to correctly compute these values without unnecessary factors. Understanding the relationship between distance, speed, and time is crucial for accurate results in ultrasound imaging.
nao113
Messages
68
Reaction score
13
Homework Statement
(a) For the anatomical configuration shown right, sketch the arrival times of all echoes as they would be seen on an A-mode display. Do not calculate echo strengths, merely calculate times of arrival referenced to the initial transmit time, out to a maximum of 200 us. Include multiple reflections and use the precise phase velocity of the materials shown.
(b) What percentage error is introduced in the calculated arrival time of the first echo if the velocity is assumed to be the average calibration value (c = 1540 m/s) rather than fat?
Relevant Equations
t1 = (2/c1) l1
t2 =t1+(2/c2) l2
Screen Shot 2022-05-13 at 16.51.46.png

Here is my answer:
PART A:
Screen Shot 2022-05-13 at 17.17.04.png

Those three didn't surpass 200 us.
But, I am still wondering whether I did it right or not since I don t really understand the meaning of `multiple reflections `. I don't know whether I have answered for multiple reflections in my answer above. or should I double the value t1, or t2 to include multiple reflections.
Screen Shot 2022-05-13 at 16.28.39.png

The picture above is the sample in the material, but I still don't understand.

PART B:
Screen Shot 2022-05-13 at 18.13.11.png

Please help me to point out my mistake in the answers. Thank you
 
Last edited:
Physics news on Phys.org
Your calculations look good so far.

Multiple reflections occur when there is more than one reflection before the sound is detected. Here are some examples:

1652462109869.png

The two pictures on the left have three reflections. The picture on the right has five reflections. Clearly, there are many possibilities. Fortunately, you only need to be concerned with cases for which the total travel time is less than 200 μs.

So far, you have found 3 cases with travel times less than 200 μs. These are single reflection cases. Can you find any cases of multiple reflections where the total travel time is less than 200 μs?
 
  • Like
Likes Steve4Physics, PhDeezNutz, Delta2 and 1 other person
TSny said:
Your calculations look good so far.

Multiple reflections occur when there is more than one reflection before the sound is detected. Here are some examples:

View attachment 301422
The two pictures on the left have three reflections. The picture on the right has five reflections. Clearly, there are many possibilities. Fortunately, you only need to be concerned with cases for which the total travel time is less than 200 μs.

So far, you have found 3 cases with travel times less than 200 μs. These are single reflection cases. Can you find any cases of multiple reflections where the total travel time is less than 200 μs?
Thank you very much for the explanation, okay, I ll try to do it. Btw, for part b about the error, did you think I get it right?
 
nao113 said:
Btw, for part b about the error, did you think I get it right?
Yes, it looks right.
 
TSny said:
Your calculations look good so far.

Multiple reflections occur when there is more than one reflection before the sound is detected. Here are some examples:

View attachment 301422
The two pictures on the left have three reflections. The picture on the right has five reflections. Clearly, there are many possibilities. Fortunately, you only need to be concerned with cases for which the total travel time is less than 200 μs.

So far, you have found 3 cases with travel times less than 200 μs. These are single reflection cases. Can you find any cases of multiple reflections where the total travel time is less than 200 μs?
TSny said:
Your calculations look good so far.

Multiple reflections occur when there is more than one reflection before the sound is detected. Here are some examples:

View attachment 301422
The two pictures on the left have three reflections. The picture on the right has five reflections. Clearly, there are many possibilities. Fortunately, you only need to be concerned with cases for which the total travel time is less than 200 μs.

So far, you have found 3 cases with travel times less than 200 μs. These are single reflection cases. Can you find any cases of multiple reflections where the total travel time is less than 200 μs?
Hello, related to the statement `Do not calculate echo strengths, merely calculate times of arrival referenced to the initial transmit time, out to a maximum of 200 us.“ What does it actually mean?

honestly, I am confused about what “t“ means? is it the variable for each echo?

I tried to calculate based on the picture I sent. I think this one is multiple reflection with less than 200 us.
My answer is on the next post
 
Last edited:
Screen Shot 2022-05-18 at 17.44.43.png
Screen Shot 2022-05-13 at 16.51.46-2.png
 
Let's take your nice example:
1652884767407.png


We want to find the total time that it takes the sound to travel this complicated path. This will be the time at which the echo is detected for this multiple-reflection example.

Note that the sound travels four times through the 5 cm of fat on the left side, as shown below in blue:
1652884931798.png


The sound also travels twice through the 4 cm of fat on the right:
1652885065220.png


That makes a total distance of 28 cm of travel through fat.

The sound also travels six times through the 4 cm of muscle, as shown in green:

1652885293712.png

So that's 24 cm of travel through muscle.

How much time does it take the sound to travel through 28 cm of fat?
How much time does it take the sound to travel through 24 cm of muscle?
What's the time at which the echo for this example is detected?
 
  • Like
Likes hutchphd
TSny said:
Let's take your nice example:
View attachment 301596

We want to find the total time that it takes the sound to travel this complicated path. This will be the time at which the echo is detected for this multiple-reflection example.

Note that the sound travels four times through the 5 cm of fat on the left side, as shown below in blue:
View attachment 301597

The sound also travels twice through the 4 cm of fat on the right:
View attachment 301598

That makes a total distance of 28 cm of travel through fat.

The sound also travels six times through the 4 cm of muscle, as shown in green:

View attachment 301599
So that's 24 cm of travel through muscle.

How much time does it take the sound to travel through 28 cm of fat?
How much time does it take the sound to travel through 24 cm of muscle?
What's the time at which the echo for this example is detected?
Thank you very much for the guidance, I calculated the question you asked. btw, I didn't know how to calculate “What's the time at which the echo for this example is detected?“ Do I just need to do addition as 378.6 us + 306.5 us = 658.1 us for ur third ? Which one that I need to get less than 200 us? Is it your 1 and 2 questions or the third one? Thank youuu
 

Attachments

  • Screen Shot 2022-05-19 at 12.25.30.png
    Screen Shot 2022-05-19 at 12.25.30.png
    8.1 KB · Views: 126
  • Like
Likes Delta2
nao113 said:
Thank you very much for the guidance, I calculated the question you asked. btw, I didn't know how to calculate “What's the time at which the echo for this example is detected?“ Do I just need to do addition as 378.6 us + 306.5 us = 658.1 us for ur third ?
Yes, you would add the total time traveled in the fat to the total time traveled in the muscle to get the time of arrival of the echo. But, I don't agree with your numbers 378.6 μs and 306.5 μs. These are twice what I get. Can you explain how you obtained these results?

nao113 said:
Which one that I need to get less than 200 us? Is it your 1 and 2 questions or the third one? Thank youuu
It's the time of arrival of the echo (my third question) that needs to be less than 200 μs.
 
  • #10
TSny said:
Yes, you would add the total time traveled in the fat to the total time traveled in the muscle to get the time of arrival of the echo. But, I don't agree with your numbers 378.6 μs and 306.5 μs. These are twice what I get. Can you explain how you obtained these results?It's the time of arrival of the echo (my third question) that needs to be less than 200 μs.
I explained how I got them in the picture I attached, is it visible on your side? May I know how you got ur answer?
 
  • #11
Here it is
 

Attachments

  • Screen Shot 2022-05-19 at 12.25.30.png
    Screen Shot 2022-05-19 at 12.25.30.png
    8.1 KB · Views: 130
  • #12
Hi @nao113. Some thoughts which might help.

You can save work by converting speeds to cm/μ s at the start. Then to get a time, you simply divide distance (in cm) by the speed (in cm/μs).

E.g. ##c_{muscle}## = 1566m/s = 0.1566cm/μs.

The fastest speed is in muscle. The furthest distance which can be covered in 200 μs is therefore 200μs x 0.1566 cm/μ s = 31.32cm (less if there is some fat).

Paths longer than 31.23cm will take more than 200μs and can be ignored.

We can represent the layers like this:

A←5cm fat→B←4cm muscle→C←4cm fat→D​

The simplest possible paths (one reflection each) are:
A→B→A (path-length= 5cm+5cm=10cm)
A→B→C→B→A(path-length= 5cm+4cm+ 4cm+5cm =18cm)
A→B→C→D→C→B-A(path-length=5cm+4cm+ 4cm+4cm + 4cm+5cm = =26cm)
So these explain three of the signals of the display

Many other paths are possible, e.g.
A→B→A→B→A (path-length= 5cm+5cm+5cm+5cm+ = 20cm

Think about the possible paths. You can ignore paths of length greater than 32.32cm. (Note that a path through a lot of fat, can be less than 32.32cm but still take more than 200μs; so these need separate checking.)

A few other points...

In the formula ##t = (\frac 2 c)l## note that ##l## is the depth and the factor 2 doubles it to give path-length. Don’t accidentally use ##l## as the path-length.

Be careful with your choice of symbols. In a post #1 attachment you used ##c_1## and ##c_3## for the speed in fat. You should use the same symbol for the same quantity..

And (even worse!) you wrote:
##\epsilon = \frac {t_1 – t_1}{t_1} \times 100%##
which (I hope you realize) gives zero!
You need different symbols for different times.

Make sure your understand what is going on – don’t just be plug numbers into formulae.
 
  • Like
Likes TSny
  • #13
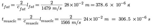
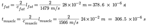
The total time of travel through the fat is just $$t_{fat} = \frac{\rm distance \,traveled \, through \, fat}{\rm speed \, through \, fat}$$
We found that the distance through the fat is 28cm. So, the time of travel through the fat is $$t_{fat} = \frac{0.28 \rm m}{1479 \; \rm m/s}$$
You calculated this as ##t_{fat} = 2 \frac{0.28 m}{1479 m/s}##. The factor of 2 should not be there.

I think you are maybe getting confused because of the way the textbook or class notes wrote ##t_1 = \frac{2}{c_1} l_1## for the case shown below
1652962490767.png


You can see that the distance traveled is ##2 l_1##. So, the arrival time for the echo is ##t_1 = \frac{2 l_1}{c_1}##. And this can be written as ##t_1 = \frac{2}{c_1} l_1##.

[Edited to correct a typo]
 
Last edited:
  • #14
Steve4Physics said:
And (even worse!) you wrote:
##\epsilon = \frac {t_1 – t_1}{t_1} \times 100%##
which (I hope you realize) gives zero!
You need different symbols for different times.
It's hard to see 🔬, but I think the OP has a prime on the second ##t_1## in the numerator:
1652967837740.png
 
  • Like
Likes Steve4Physics
  • #15
TSny said:
It's hard to see 🔬, but I think the OP has a prime on the second ##t_1## in the numerator:
View attachment 301639
Thanks @TSny. You are correct. I should have looked more carefully (and should clean my screen more often). Apologies to @nao113 .
 
  • #16
Steve4Physics said:
Thanks @TSny. You are correct. I should have looked more carefully (and should clean my screen more often). Apologies to @nao113 .
No worries, btw, thank you for your attention, you helped me a lot
 
Last edited:
  • #17
TSny said:
The total time of travel through the fat is just $$t_{fat} = \frac{\rm distance \,traveled \, through \, fat}{\rm speed \, through \, fat}$$
We found that the distance through the fat is 28cm. So, the time of travel through the fat is $$t_{fat} = \frac{0.28 \rm m}{1479 \; \rm m/s}$$
You calculated this as ##t_{fat} = 2 \frac{0.28 m}{1479 m/s}##. The factor of 2 should not be there.

I think you are maybe getting confused because of the way the textbook or class notes wrote ##t_1 = \frac{2}{c_1} l_1## for the case shown below
View attachment 301635

You can see that the distance traveled is ##2 l_1##. So, the arrival time for the echo is ##t_1 = \frac{2 l_1}{c_1}##. And this can be written as ##t_1 = \frac{2}{c_1} l_1##.

[Edited to correct a typo]
I see I got it, I will try to implement your solution, that s a very complete explanation Thank you very much. Btw, may I have another question? These are the question and my answer. The question asked me to draw, did I draw it right?
 

Attachments

  • WhatsApp Image 2022-05-20 at 3.45.43 AM.jpeg
    WhatsApp Image 2022-05-20 at 3.45.43 AM.jpeg
    20.9 KB · Views: 98
  • Screen Shot 2022-05-20 at 3.36.53.png
    Screen Shot 2022-05-20 at 3.36.53.png
    36.4 KB · Views: 120
  • Screen Shot 2022-05-20 at 3.38.19.png
    Screen Shot 2022-05-20 at 3.38.19.png
    8.2 KB · Views: 107
  • #18
Steve4Physics said:
Hi @nao113. Some thoughts which might help.

You can save work by converting speeds to cm/μ s at the start. Then to get a time, you simply divide distance (in cm) by the speed (in cm/μs).

E.g. ##c_{muscle}## = 1566m/s = 0.1566cm/μs.

The fastest speed is in muscle. The furthest distance which can be covered in 200 μs is therefore 200μs x 0.1566 cm/μ s = 31.32cm (less if there is some fat).

Paths longer than 31.23cm will take more than 200μs and can be ignored.

We can represent the layers like this:

A←5cm fat→B←4cm muscle→C←4cm fat→D​

The simplest possible paths (one reflection each) are:
A→B→A (path-length= 5cm+5cm=10cm)
A→B→C→B→A(path-length= 5cm+4cm+ 4cm+5cm =18cm)
A→B→C→D→C→B-A(path-length=5cm+4cm+ 4cm+4cm + 4cm+5cm = =26cm)
So these explain three of the signals of the display

Many other paths are possible, e.g.
A→B→A→B→A (path-length= 5cm+5cm+5cm+5cm+ = 20cm

Think about the possible paths. You can ignore paths of length greater than 32.32cm. (Note that a path through a lot of fat, can be less than 32.32cm but still take more than 200μs; so these need separate checking.)

A few other points...

In the formula ##t = (\frac 2 c)l## note that ##l## is the depth and the factor 2 doubles it to give path-length. Don’t accidentally use ##l## as the path-length.

Be careful with your choice of symbols. In a post #1 attachment you used ##c_1## and ##c_3## for the speed in fat. You should use the same symbol for the same quantity..

And (even worse!) you wrote:
##\epsilon = \frac {t_1 – t_1}{t_1} \times 100%##
which (I hope you realize) gives zero!
You need different symbols for different times.

Make sure your understand what is going on – don’t just be plug numbers into formulae.
Thank you very much for the explanation, this is so detail ... I ll try to use this understanding on my answer
 
  • Like
Likes Steve4Physics
  • #19
Steve4Physics said:
Hi @nao113. Some thoughts which might help.

You can save work by converting speeds to cm/μ s at the start. Then to get a time, you simply divide distance (in cm) by the speed (in cm/μs).

E.g. ##c_{muscle}## = 1566m/s = 0.1566cm/μs.

The fastest speed is in muscle. The furthest distance which can be covered in 200 μs is therefore 200μs x 0.1566 cm/μ s = 31.32cm (less if there is some fat).

Paths longer than 31.23cm will take more than 200μs and can be ignored.

We can represent the layers like this:

A←5cm fat→B←4cm muscle→C←4cm fat→D​

The simplest possible paths (one reflection each) are:
A→B→A (path-length= 5cm+5cm=10cm)
A→B→C→B→A(path-length= 5cm+4cm+ 4cm+5cm =18cm)
A→B→C→D→C→B-A(path-length=5cm+4cm+ 4cm+4cm + 4cm+5cm = =26cm)
So these explain three of the signals of the display

Many other paths are possible, e.g.
A→B→A→B→A (path-length= 5cm+5cm+5cm+5cm+ = 20cm

Think about the possible paths. You can ignore paths of length greater than 32.32cm. (Note that a path through a lot of fat, can be less than 32.32cm but still take more than 200μs; so these need separate checking.)

A few other points...

In the formula ##t = (\frac 2 c)l## note that ##l## is the depth and the factor 2 doubles it to give path-length. Don’t accidentally use ##l## as the path-length.

Be careful with your choice of symbols. In a post #1 attachment you used ##c_1## and ##c_3## for the speed in fat. You should use the same symbol for the same quantity..

And (even worse!) you wrote:
##\epsilon = \frac {t_1 – t_1}{t_1} \times 100%##
which (I hope you realize) gives zero!
You need different symbols for different times.

Make sure your understand what is going on – don’t just be plug numbers into formulae.
the question asked me to include multiple reflections, so it doesn't mean I need to make three different path for the anatomical configuration, right? There are single reflection you mentioned:
A→B→A (path-length= 5cm+5cm=10cm)
A→B→C→B→A(path-length= 5cm+4cm+ 4cm+5cm =18cm)
A→B→C→D→C→B-A(path-length=5cm+4cm+ 4cm+4cm + 4cm+5cm = =26cm)

So, to create multiple reflection, I need to make a new path like A -> B -> A -> C -> A ( 5 + 5 + 5 + 4 + 4 + 5 = 28 cm) -> based on my calculation, it will produce less than 200 us. Am I correct?
 
  • #20
TSny said:
Your calculations look good so far.

Multiple reflections occur when there is more than one reflection before the sound is detected. Here are some examples:

View attachment 301422
The two pictures on the left have three reflections. The picture on the right has five reflections. Clearly, there are many possibilities. Fortunately, you only need to be concerned with cases for which the total travel time is less than 200 μs.

So far, you have found 3 cases with travel times less than 200 μs. These are single reflection cases. Can you find any cases of multiple reflections where the total travel time is less than 200 μs?
Btw, for multiple reflection, can I stop on the muscle, let say there are A - B = 5 cm, B-C = 4 cm, and C-D= 4 cm. Can I stop on B? so it will be like A-B-A-C-B-D-C, can I do that?
 

Attachments

  • Screen Shot 2022-05-13 at 16.51.46-4.png
    Screen Shot 2022-05-13 at 16.51.46-4.png
    56.3 KB · Views: 105
  • #21
nao113 said:
the question asked me to include multiple reflections, so it doesn't mean I need to make three different path for the anatomical configuration, right?
I'm not quite sure what you are asking here.

nao113 said:
There are single reflection you mentioned:
A→B→A (path-length= 5cm+5cm=10cm)
A→B→C→B→A(path-length= 5cm+4cm+ 4cm+5cm =18cm)
A→B→C→D→C→B-A(path-length=5cm+4cm+ 4cm+4cm + 4cm+5cm = =26cm)
Yes. Of course, for A→B→C→B→A you need to take into account that 10 cm of length takes place in fat and 8 cm takes place in muscle. It looks like you correctly calculated the time for this path in your first post.
A simple way to calculate this is ##t_{\rm echo} = \frac{.10 \, \rm m}{1479 \, \rm m/s} +\frac{.08 \, \rm m}{1566 \, \rm m/s} = 118.7 \, \mu \rm s##

Likewise, for the path A→B→C→D→C→B-A you can see that 18 cm takes place in fat and 8 cm takes place In muscle. So,
##t_{\rm echo} = \frac{.18 \, \rm m}{1479 \, \rm m/s} +\frac{.08 \, \rm m}{1566 \, \rm m/s} = 172.8 \, \mu \rm s##. This agrees with what you got for this path in your first post.

nao113 said:
So, to create multiple reflection, I need to make a new path like A -> B -> A -> C -> A ( 5 + 5 + 5 + 4 + 4 + 5 = 28 cm) -> based on my calculation, it will produce less than 200 us. Am I correct?
Yes, I also get less than 200 μs for this case. If you want to tell me the specific answer that you got for this case, I can tell you if I agree.
 
  • #22
nao113 said:
Btw, for multiple reflection, can I stop on the muscle, let say there are A - B = 5 cm, B-C = 4 cm, and C-D= 4 cm. Can I stop on B? so it will be like A-B-A-C-B-D-C, can I do that?
No. The sound must return to the transducer in order to be registered as an echo. So, all paths must start and end at A.
 
  • #23
TSny said:
I'm not quite sure what you are asking here.Yes. Of course, for A→B→C→B→A you need to take into account that 10 cm of length takes place in fat and 8 cm takes place in muscle. It looks like you correctly calculated the time for this path in your first post.
A simple way to calculate this is ##t_{\rm echo} = \frac{.10 \, \rm m}{1479 \, \rm m/s} +\frac{.08 \, \rm m}{1566 \, \rm m/s} = 118.7 \, \mu \rm s##

Likewise, for the path A→B→C→D→C→B-A you can see that 18 cm takes place in fat and 8 cm takes place In muscle. So,
##t_{\rm echo} = \frac{.18 \, \rm m}{1479 \, \rm m/s} +\frac{.08 \, \rm m}{1566 \, \rm m/s} = 172.8 \, \mu \rm s##. This agrees with what you got for this path in your first post.Yes, I also get less than 200 μs for this case. If you want to tell me the specific answer that you got for this case, I can tell you if I agree.
Thank you so much for the detail information. Okay, I ll share my full answer, btw, can I ask another question? I already answered it, here they are. Did I do it correctly?
 

Attachments

  • Screen Shot 2022-05-20 at 3.36.53.png
    Screen Shot 2022-05-20 at 3.36.53.png
    36.4 KB · Views: 101
  • Screen Shot 2022-05-20 at 3.38.19.png
    Screen Shot 2022-05-20 at 3.38.19.png
    8.2 KB · Views: 115
  • WhatsApp Image 2022-05-20 at 3.45.43 AM.jpeg
    WhatsApp Image 2022-05-20 at 3.45.43 AM.jpeg
    20.9 KB · Views: 115
  • #24
TSny said:
I'm not quite sure what you are asking here.Yes. Of course, for A→B→C→B→A you need to take into account that 10 cm of length takes place in fat and 8 cm takes place in muscle. It looks like you correctly calculated the time for this path in your first post.
A simple way to calculate this is ##t_{\rm echo} = \frac{.10 \, \rm m}{1479 \, \rm m/s} +\frac{.08 \, \rm m}{1566 \, \rm m/s} = 118.7 \, \mu \rm s##

Likewise, for the path A→B→C→D→C→B-A you can see that 18 cm takes place in fat and 8 cm takes place In muscle. So,
##t_{\rm echo} = \frac{.18 \, \rm m}{1479 \, \rm m/s} +\frac{.08 \, \rm m}{1566 \, \rm m/s} = 172.8 \, \mu \rm s##. This agrees with what you got for this path in your first post.Yes, I also get less than 200 μs for this case. If you want to tell me the specific answer that you got for this case, I can tell you if I agree.
Here is my full answer.. do you agree with me? Thank you
 

Attachments

  • Screen Shot 2022-05-20 at 6.47.51.png
    Screen Shot 2022-05-20 at 6.47.51.png
    25.9 KB · Views: 110
  • Screen Shot 2022-05-20 at 6.48.08.png
    Screen Shot 2022-05-20 at 6.48.08.png
    48.8 KB · Views: 127
  • #25
nao113 said:
Thank you so much for the detail information. Okay, I ll share my full answer, btw, can I ask another question? I already answered it, here they are. Did I do it correctly?
1652997222313.png


Both of these configurations would produce the A-mode display of echos. But, the two configurations are esssentially the same since they both consist of two 2.66 cm regions and one 0.3 cm region and all three regions are assumed to have the same sound speed c. Can you come up with a different configuration that is fundamentally different and would produce the same display of echos?
 
  • #26
TSny said:
View attachment 301664

Both of these configurations would produce the A-mode display of echos. But, the two configurations are esssentially the same since they both consist of two 2.66 cm regions and one 0.3 cm region and all three regions are assumed to have the same sound speed c. Can you come up with a different configuration that is fundamentally different and would produce the same display of echos?
How about I replaced the first picture with this one? so only 2 organs here with one 2.66 cm region and one 0.3 cm region. Then, should I name these two organs as organ 4 and organ 5? since organ 1, 2, and 3 are used in the second picture?, by doing that, it seems that they will have different speed of c
 

Attachments

  • WhatsApp Image 2022-05-20 at 7.10.33 AM.jpeg
    WhatsApp Image 2022-05-20 at 7.10.33 AM.jpeg
    10.6 KB · Views: 112
  • #27
nao113 said:
How about I replaced the first picture with this one?
1652998835222.png

This won't work since it would produce an echo at 38.4 μs which does not appear in the echo display diagram. Can you see how this echo would be produced?
 
  • #28
By the way, in your figure shown below you might want to calculate the 0.3 cm distance more accurately so that it is accurate to the nearest 0.01 cm.
1652998761003.png
 
  • #29
TSny said:
View attachment 301667
This won't work since it would produce an echo at 38.4 μs which does not appear in the echo display diagram. Can you see how this echo would be produced?
Yes, I just realized it will produced 38.4. is there any formula to recreate another anatomical configurations? Can you explain more about what should I have to do? Here, I tried another one, is it correct?
 

Attachments

  • WhatsApp Image 2022-05-20 at 7.52.01 AM.jpeg
    WhatsApp Image 2022-05-20 at 7.52.01 AM.jpeg
    31.2 KB · Views: 100
Last edited:
  • #30
TSny said:
By the way, in your figure shown below you might want to calculate the 0.3 cm distance more accurately so that it is accurate to the nearest 0.01 cm.
View attachment 301666
Yes, I changed the way I draw it so the distance will look more realistic
 

Attachments

  • WhatsApp Image 2022-05-20 at 7.07.55 AM.jpeg
    WhatsApp Image 2022-05-20 at 7.07.55 AM.jpeg
    22.5 KB · Views: 109
  • #31
nao113 said:
Here is my full answer.. do you agree with me? Thank you
I agree with these. However, there is another case that you have missed.
 
  • #32
TSny said:
I agree with these. However, there is another case that you have missed.
May I know what is it?
 
  • #33
nao113 said:
May I know what is it?
I don't want to give it away. It is not a very complicated path. Try playing around with various paths.
 
  • #34
nao113 said:
Yes, I just realized it will produced 38.4. is there any formula to recreate another anatomical configurations? Can you explain more about what should I have to do? Here, I tried another one, is it correct?
1653017360675.png

This will produce the echos at 34.5 μs and 69.0 μs. It will not produce the 73.2 μs echo unless the distance ##l_3 = 0.32## cm. But you already discovered that case.

What if you choose ##l_2## to be something other than 2.66 cm?
Can you choose it so that you get echos at 34.5 μs, 69.0 μs, and 73.2 μs and no other echos with arrival times less than about 75 μs?

1653017580949.png
 
Last edited:
  • #35
TSny said:
I don't want to give it away. It is not a very complicated path. Try playing around with various paths.
Sure, I ll try to find other paths, thank you very much
 
  • #36
TSny said:
View attachment 301701
This will produce the echos at 34.5 μs and 69.0 μs. It will not produce the 73.2 μs echo unless the distance ##l_3 = 0.32## cm. But you already discovered that case.

What if you choose ##l_2## to be something other than 2.66 cm?
Can you choose it so that you get echos at 34.5 μs, 69.0 μs, and 73.2 μs and no other echos with arrival times less than about 75 μs?

View attachment 301702
I see, I got it, I will try another distance which match with the given echoes, thank you so much
 
Back
Top