MHB Clarifying some rules on solving quadratic equation

AI Thread Summary
The discussion clarifies the outcomes of dividing both sides of quadratic equations by factors containing x. In problem 48, dividing by (x-c) results in one root because x=c is already a solution. In problem 49, dividing by a factor leads to one unique solution, x=p+q, and the potential for a second root is limited to the condition where p equals q. The participants emphasize that quadratic equations do not always yield two distinct roots, and the nature of the roots depends on the specific factors involved. Understanding these nuances is crucial for solving quadratic equations effectively.
NotaMathPerson
Messages
82
Reaction score
0
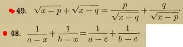
View attachment 5675
Hello! I just want to clarify something about the rules on solving quadratic eqns.

I have already solved both problems but in the process of my solution some questions arise.

For example in the part of my soltution in problem 48 I have this

$(x-c)\left(\frac{a^2+b^2-ac-bc+x(2c-a-b)}{x^2-ax-bx+ab}\right)=0$

Multiplying both sides by $(x^2-ax-bx+ab)$ I get two unqueal roots. I got the correct ansswer for this one

But when I divide both sides by $(x-c)$ I only get one root.

And also for 49

In the part of my solution I have

$x\left(\frac{1}{\sqrt{x-p}}+\frac{1}{\sqrt{x-q}}\right)=(p+q)\left(\frac{1}{\sqrt{x-q}}+\frac{1}{\sqrt{x-p}}\right)$

Dividing both sides by $\left(\frac{1}{\sqrt{x-q}}+\frac{1}{\sqrt{x-p}}\right)$

I get x=p+q which is the correct answer

Now my questions are the following

In prob 48, when I divide both sides of the equation by $x-c$ I end up having one root
In prob 49 when I divide both sides by $\left(\frac{1}{\sqrt{x-q}}+\frac{1}{\sqrt{x-p}}\right)$ I end up with two equal roots

I divided both sides of the equations for both problems by a factor which contain x and I ended up having one root for prob 48 and two equal roots for 49. Can you tell me why is it the case.

I know the reason why I get a single root for prob 48. It is because of the fact that x=c is a solution. But what I am having trouble with is the fact that I used the same process(dividing both sides by a factor containing x) for prob 49 and still end up with two equal roots. Please explain it. Thanks
 

Attachments

  • Q48&49hallXXVIC.jpg
    Q48&49hallXXVIC.jpg
    6 KB · Views: 121
Mathematics news on Phys.org
NotaMathPerson said:
49.\;\sqrt{x-p} + \sqrt{x-q} \;=\;\frac{p}{\sqrt{x-q}} + \frac{q}{\sqrt{x-p}}
Multiply both sides by \sqrt{x-p}\sqrt{x-q}:

. . 0. . (x-p)\sqrt{x-q} + (x-q)\sqrt{x-p} \;=\;p\sqrt{x-p} + q\sqrt{x-q}

. . .. . (x-p)\sqrt{x-q} - q\sqrt{x-q} + (x-q)\sqrt{x-p} - p\sqrt{x-p} \;=\;0

\text{Factor: }\;(x-p-q)\sqrt{x-q} + (x-p-q)\sqrt{x-p} \;=\;0

\text{Factor: }\;(x-p-q)(\sqrt{x-q} + \sqrt{x-p}) \;=\;0

\text{Therefore: }\;x-p-q\:=\:0 \quad\Rightarrow\quad x \:=\: p+q

 
Arent we suppose to get two roots for this problem? Since we have a quadratic equation. Anyone please explain this for me.
 
NotaMathPerson said:
Arent we suppose to get two roots for this problem? Since we have a quadratic equation. Anyone please explain this for me.

There's no guarantee that a quadratic equation has two roots. Further from the last equation the second root would be derived from:

$$\sqrt{x - q} + \sqrt{x - p} = 0$$

Which if you aren't dealing with complex numbers, which wasn't given in your original question, only has one possibility of being 0 which is [math]x = p = q[/math]. Can you see why?

As for question 48, the reason you only get one root when dividing out the [math]x - c[/math] is that you've divided out term that gets you one of the roots.
 
squidsk said:
There's no guarantee that a quadratic equation has two roots. Further from the last equation the second root would be derived from:

$$\sqrt{x - q} + \sqrt{x - p} = 0$$

Which if you aren't dealing with complex numbers, which wasn't given in your original question, only has one possibility of being 0 which is [math]x = p = q[/math]. Can you see why?

As for question 48, the reason you only get one root when dividing out the [math]x - c[/math] is that you've divided out term that gets you one of the roots.

Do you mean that the other solution is x=p=q?
Anyone? Hello?
 
Last edited:
Seemingly by some mathematical coincidence, a hexagon of sides 2,2,7,7, 11, and 11 can be inscribed in a circle of radius 7. The other day I saw a math problem on line, which they said came from a Polish Olympiad, where you compute the length x of the 3rd side which is the same as the radius, so that the sides of length 2,x, and 11 are inscribed on the arc of a semi-circle. The law of cosines applied twice gives the answer for x of exactly 7, but the arithmetic is so complex that the...
Is it possible to arrange six pencils such that each one touches the other five? If so, how? This is an adaption of a Martin Gardner puzzle only I changed it from cigarettes to pencils and left out the clues because PF folks don’t need clues. From the book “My Best Mathematical and Logic Puzzles”. Dover, 1994.

Similar threads

Back
Top