A Displaying the dimensionless Radiation Transport Equation

AI Thread Summary
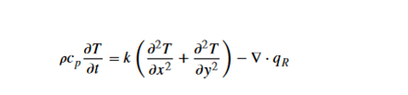
The discussion focuses on displaying the Radiation Transport Equation (RTE) in a dimensionless form, specifically incorporating the Planck number, Prandtl number, and Rayleigh number. The original poster seeks assistance after multiple unsuccessful attempts to achieve this. A participant questions the scaling of variables, suggesting that temperature should scale with a reference temperature and lengths with a characteristic length, while also inquiring about the scaling of time. Additionally, there is a request for clarification on how to define the heat flux vector in relation to temperature and its derivatives. Overall, the conversation centers on the complexities of dimensionless representation in fluid dynamics.
BigBoBy17
Messages
1
Reaction score
0
TL;DR Summary
Display the Radiation Transport Equation dimensionless
Hallo,
I would like to display the RTE (Radiation Transport Equation) dimensionless. In the picture, the RTE is shown. I would like to have the Planck number (or N) inside at the end. Additionally, the Prandtl number and the Rayleigh number can be inside. I have already many attempts behind me, but I do not get it. Could someone help me and explain it to me? I would be very grateful.
RTE.png

Boby
 

Attachments

  • RTE.png
    RTE.png
    3.2 KB · Views: 118
Physics news on Phys.org
How are you scaling the variables? I assume temperature scales with T_{\mathrm{ref}} and lengths with L; that leaves the question of how you scale time. As you mention Rayleigh and Prandtl numbers, this scaling presumably comes from the momentum equation, which you haven't included in your post.

How do you define \mathbf{q}_R in terms of T and its derivatives?
 
Hello, I'm joining this forum to ask two questions which have nagged me for some time. I am in no way trolling. They both are presumed obvious, yet don't make sense to me. Nobody will explain their positions, which is...uh...aka science. I also have a thread for the other question. Yes, I'm questioning the most elementary physics question we're given in this world. The classic elevator in motion question: A person is standing on a scale in an elevator that is in constant motion...
Thread ''splain this hydrostatic paradox in tiny words'
This is (ostensibly) not a trick shot or video*. The scale was balanced before any blue water was added. 550mL of blue water was added to the left side. only 60mL of water needed to be added to the right side to re-balance the scale. Apparently, the scale will balance when the height of the two columns is equal. The left side of the scale only feels the weight of the column above the lower "tail" of the funnel (i.e. 60mL). So where does the weight of the remaining (550-60=) 490mL go...
Consider an extremely long and perfectly calibrated scale. A car with a mass of 1000 kg is placed on it, and the scale registers this weight accurately. Now, suppose the car begins to move, reaching very high speeds. Neglecting air resistance and rolling friction, if the car attains, for example, a velocity of 500 km/h, will the scale still indicate a weight corresponding to 1000 kg, or will the measured value decrease as a result of the motion? In a second scenario, imagine a person with a...
Back
Top