MHB Eigenfunction expansion with chebyshev

nacho-man
Messages
166
Reaction score
0
I am absolutely dying with this question.

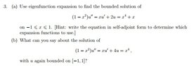
Ok so referring to the attached image;
we can re-iterate the given equation in SL-Form.

so

$(1-x^2)u'' - xu' + 2u =0 $

divide everything by $\sqrt{1-x^2}$
so we get

$\sqrt{1-x^2}u'' - \frac{x}{\sqrt{1-x^2}} u' + \frac{2}{\sqrt{1-x^2}}u=0$

which may be re-written in self-adjoint form:
$(\sqrt{1-x^2}u')' + \frac{2}{\sqrt{1-x^2}} u =0 $ on $-1\le x\le 1$

which is our beloved chebyshev!

SOOOOO let's begin..

I know that our eigen values $\lambda = n^2$
That $u_n(x) = T_n(x) = \cos(n \arccos x)$

How do I solve for this?

I tried :

$\sum_{n=0}^{\infty} a_n T_n(x) = f(x) = x^4 + x$but where do I go from here?

I'll have to solve for $a_n$ to get this particular solution;
but the integral is insane:

$a_n = \frac{1}{\pi}$ $\int_{-1}^{1} $ $\frac{x^4+x}{\sqrt{1-x^2}}\,dx$ for $n=0$
and

$a_n = \frac{2}{\pi} \int_{-1}^{1} \frac{T_n(x)(x^4+x)}{\sqrt{1-x^2}}\,dx$ for $ n = 1, 2, ...$
Blah^^^^ ?
Tried making a substution, letting $x =\cos\left({\theta}\right)$, dx = $- \sin\left({\theta}\right)$

but it gave me a non-convergent integral

can I get some guidance on where to go further? or if I am on the right track, because I am not sure at this stage.
 

Attachments

  • dddddddddddddd.jpg
    dddddddddddddd.jpg
    14.5 KB · Views: 151
Last edited:
Physics news on Phys.org
nacho said:
I am absolutely dying with this question.

Ok so referring to the attached image;
we can re-iterate the given equation in SL-Form.

so

$(1-x^2)u'' - xu' + 2u =0 $

divide everything by $\sqrt{1-x^2}$
so we get

$\sqrt{1-x^2}u'' - \frac{x}{\sqrt{1-x^2}} u' + \frac{2}{\sqrt{1-x^2}}u=0$

which may be re-written in self-adjoint form:
$(\sqrt{1-x^2}u')' + \frac{2}{\sqrt{1-x^2}} u =0 $ on $-1\le x\le 1$

which is our beloved chebyshev!

SOOOOO let's begin..

I know that our eigen values $\lambda = n^2$
That $u_n(x) = T_n(x) = \cos(n \arccos x)$

How do I solve for this?

I tried :

$\sum_{n=0}^{\infty} a_n T_n(x) = f(x) = x^4 + x$but where do I go from here?
Assuming that you are correct so far, you can use the fact that $$T_0(x) = 1,$$ $$T_1(x) = x,$$ $$T_2(x) = 2x^2 - 1,$$ $$T_4(x) = 8x^4 - 8x^2 + 1,$$ to express $x^4+x$ as a linear combination of $T_0,$ $T_1,$ $T_2$ and $T_4$. You don't need an infinite sum, or fancy integrals to calculate the coefficients. Just use elementary algebra.
 
so $x^4 + x = \frac{1}{8} T_4(x) + \frac{1}{2}T_2(x) + \frac{3}{8}T_0(x) + T_1(x)$

Is this my solution to the question?
 
Last edited by a moderator:
nacho said:
so $x^4 + x $ = \frac{1}{8} T_4(x) + \frac{1}{2}T_2(x) + \frac{3}{8}T_0(x) + T_1(x)$

Is this my solution to the question?
It doesn't seem to be quite as simple as that. If you put $u = T_2(x)$ in the original equation then you find that $$(1-x^2)T_2''(x) - xT_2'(x) + 2T_2(x) = 2T_2(x).$$ Do the same thing for $u=T_4(x)$ and you get $$(1-x^2)T_4''(x) - xT_4'(x) + 2T_4(x) = -14T_4(x).$$ I'm not sure where those multiples are coming from, but they don't look like your claimed eigenvalues $\lambda = n^2.$ Maybe dividing by $\sqrt{1-x^2}$ introduced some extra complication. Anyway, it should still be true that if you take $u$ to be an appropriate linear combination of $T_0$, $T_1$, $T_2$ and $T_4$ then you can get the right-hand side of the equation to come to $x^4+x$.

As always with a differential equation, the only sure-fire way to know whether you have found the correct answer is to substitute it into the original equation and see if it works.
 
Hey opalg, just a little curious why you subbed in $T_4(x)$ and $T_2(x)$ like that for u? And what it would achieve after I've
Subbed in T_1 and T_0?

Two people outside this forums also
Mentioned this:
you should get cn=an/(2-n^2) where an is from the linear combination and cn is from u(x)=Sum(cn*Tn(x)).
then after a bit of algebra i got u(x) = -x^4/14-(3*x^2)/7+x+3/7 which satisfies the original equation.

And

The solution is something like a_0*T_0(x)+a_1*T_1(x) up until T_4(x). and you just need to find the a that satisfy that.
 
Additionally there was a second question attached which asked
What can you say about the solution of
$(1−x^2)u′′ −xu′ +4u=x^4,$
with $u$ again bounded on $[−1, 1]$?

Was this alluding to using a sturm liouville comparison theorem ? What could this be wanting to ask specifically ? I was thinking the frequency of oscillations in the solution butt wasn't sure
 
nacho said:
Hey opalg, just a little curious why you subbed in $T_4(x)$ and $T_2(x)$ like that for u? And what it would achieve after I've
Subbed in T_1 and T_0?
For a function $u(x)$, define $L(u) = (1−x^2)u′′ −xu′ +2u$. You want to find $u$ so that $L(u) = x^4 + x$. Given that the Chebyshev polynomials are eigenfunctions for $L$, with eigenvalues $2-n^2$, it follows that $L(T_n) = (2-n^2)T_n$. If you can find a linear combination $u = a_0T_0 + a_1T_1 + a_2T_2 + a_4T_4$ such that $L(u) = x^4 + x$, then you will have solved the problem. That is the motivation for finding $L(T_n)$ (for $n=0,1,2,4$).

nacho said:
Additionally there was a second question attached which asked
What can you say about the solution of
$(1−x^2)u′′ −xu′ +4u=x^4,$
with $u$ again bounded on $[−1, 1]$?

Was this alluding to using a sturm liouville comparison theorem ? What could this be wanting to ask specifically ? I was thinking the frequency of oscillations in the solution butt wasn't sure
The eigenfunctions for this question are again the Chebyshev polynomials, but the eigenvalues this time are $4-n^2$. The snag with that is that the eigenvalue for $T_2$ will be $0$. Thus $L(T_2) = 0$, so we cannot use $T_2$ to get anything nonzero on the right-hand side of the equation. I guess that this means there will be no bounded solution on $[-1,1].$ But I am not sure how to justify that guess.
 

I think I now see how to do part (b) of this question. It has to do with the fact that the operator $L$ is selfadjoint, where $L$ is defined by $L(u) = (1-x^2)u'' - xu' + 4u$. We want to show that $x^4$ is not in the range of $L$.

The operator $L$ acts on the Hilbert space given by the inner product $$\langle f, g\rangle = \int_{-1}^1f(x)\overline{g(x)}\frac{dx}{\sqrt{1-x^2}}$$ and is selfadjoint in the sense that $\langle L(u),v\rangle = \langle u,L(v)\rangle$ for all functions $u,v$ in its domain.

We know that $L(T_n) = (4-n^2)T_n$ for each Chebyshev polynomial $T_n$. In particular, $L(T_0) = 4$, $L(T_2) = 0$ and $L(T_4) = -12T_4 = -96x^4 + 96x^2 - 12.$ Therefore $L(\frac1{48}T_4 - \frac3{16}T_0) = -2x^4 + 2x^2 - 1 = -2x^4 + T_2(x)$. Now suppose that there exists a function $u$ such that $L(u) = x^4$. Let $v = 2u +\frac1{48}T_4 - \frac3{16}T_0.$ Then $L(v) = T_2$.

The selfadjointness of $L$ then tells us that $\|T_2\|^2 = \|L(v)\|^2 = \langle L(v),L(v) \rangle = \langle v,L^2(v)\rangle$. But $L^2(v) = L(L(v)) = L(T_2) = 0$. It follows that $\|T_2\|=0$ and hence $T_2(x)=0$ (for all $x$ in $[-1,1]$), which is clearly false.

That contradiction shows that there is no function $u$ with $L(u) = x^4$.
 

Attachments

  • Unknown.jpg
    Unknown.jpg
    14.5 KB · Views: 122
Last edited:
Opalg said:
For a function $u(x)$, define $L(u) = (1−x^2)u′′ −xu′ +2u$. You want to find $u$ so that $L(u) = x^4 + x$. Given that the Chebyshev polynomials are eigenfunctions for $L$, with eigenvalues $2-n^2$, it follows that $L(T_n) = (2-n^2)T_n$. If you can find a linear combination $u = a_0T_0 + a_1T_1 + a_2T_2 + a_4T_4$ such that $L(u) = x^4 + x$, then you will have solved the problem. That is the motivation for finding $L(T_n)$ (for $n=0,1,2,4$).

Hey opalg, so what would be the procedure of actually solving for the coefficients such that when subbed in they equal to $x^4 + x$ ?

I realize what I did gave me $x^4 + x$, but did not satisfy the solution for the DE.

After individually subbing in the Chebyshev polynomials as you did for $T_2$ and $T_4$, how does that bring us any closer to solving the problem?


solved!


Opalg said:
I think I now see how to do part (b) of this question. It has to do with the fact that the operator $L$ is selfadjoint, where $L$ is defined by $L(u) = (1-x^2)u'' - xu' + 4u$. We want to show that $x^4$ is not in the range of $L$.

The operator $L$ acts on the Hilbert space given by the inner product $$\langle f, g\rangle = \int_{-1}^1f(x)\overline{g(x)}\frac{dx}{\sqrt{1-x^2}}$$ and is selfadjoint in the sense that $\langle L(u),v\rangle = \langle u,L(v)\rangle$ for all functions $u,v$ in its domain.

We know that $L(T_n) = (4-n^2)T_n$ for each Chebyshev polynomial $T_n$. In particular, $L(T_0) = 4$, $L(T_2) = 0$ and $L(T_4) = -12T_4 = -96x^4 + 96x^2 - 12.$ Therefore $L(\frac1{48}T_4 - \frac3{16}T_0) = -2x^4 + 2x^2 - 1 = -2x^4 + T_2(x)$. Now suppose that there exists a function $u$ such that $L(u) = x^4$. Let $v = 2u +\frac1{48}T_4 - \frac3{16}T_0.$ Then $L(v) = T_2$.

The selfadjointness of $L$ then tells us that $\|T_2\|^2 = \|L(v)\|^2 = \langle L(v),L(v) \rangle = \langle v,L^2(v)\rangle$. But $L^2(v) = L(L(v)) = L(T_2) = 0$. It follows that $\|T_2\|=0$ and hence $T_2(x)=0$ (for all $x$ in $[-1,1]$), which is clearly false.

That contradiction shows that there is no function $u$ with $L(u) = x^4$.
This is genius Opalg!
 
Last edited:
Back
Top