MHB Equivalent Rates - Valuation Mathematics

AI Thread Summary
The discussion revolves around valuation mathematics, specifically calculating equivalent rates for annuities. The first question addresses the value of receiving £100,000 annually in advance in perpetuity at a 10% discount rate, yielding a value of £1,100,000. The second question involves calculating the value of receiving £100,000 quarterly in advance, also in perpetuity, with an annual nominal rate of 10%, which results in £1,062,344. The key to solving the second question lies in correctly converting the annual rate to a quarterly rate, approximately 2.41%. The conversation highlights the importance of accurate rate conversion in financial calculations.
logicandtruth
Messages
14
Reaction score
1
Hi all

I am currently working on questions focusing on valuation mathematics. A question on equivalent rates is perplexing me. The first question is straightforward, but I get stuck on the second question.

Q1. What is the value of the right to receive £100,000 annually in advance in perpetuity assuming a discount rate of 10%?

A1. £1,100,000

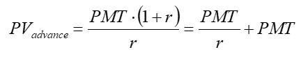
The formula below is for a level annuity that is received in perpetuity and in advance. Here in the UK typically commercial property leases are structured so tenants pay rents four times spread evenly over a year.

View attachment 8408

Q2. What is the value of the right to receive £100,000 per annum quarterly in advance in perpetuity assuming an annual nominal rate of 10%?

A. £1,062,344

I tried various iterations of the formula, but can't get the above answer. Any help would be much appreciated
 

Attachments

  • Formula.PNG
    Formula.PNG
    1.5 KB · Views: 113
Mathematics news on Phys.org
logicandtruth said:
Q2. What is the value of the right to receive £100,000 per annum quarterly
in advance in perpetuity assuming an annual nominal rate of 10%?

A. £1,062,344
Rate needs to be converted to the quarterly rate
that results in 10% annual; that rate is ~2.41%:
1.0241^4 = 1.10, so 10% effective.

Bank tatement will look like:
Code:
QUARTER PAYMENT INTEREST  BALANCE
     0                   1,062,344
     0  -25,000       0  1,037,344
     1  -25,000  25,000  1,037,344 : 1037344*.0241= 25000
     2  -25,000  25,000  1,037,344
...and so on till death do you part!
Sooooo...using formula:
PMT/r + PMT = 25000/.0241 + 25000 = 1,062,344

HOKAY?
 
I see where I went wrong, I was incorrectly converting the interest to a quarter rate:

Quarterly rate = (1 + annual rate )(1/4) – 1

Thank you, understood.
 
Seemingly by some mathematical coincidence, a hexagon of sides 2,2,7,7, 11, and 11 can be inscribed in a circle of radius 7. The other day I saw a math problem on line, which they said came from a Polish Olympiad, where you compute the length x of the 3rd side which is the same as the radius, so that the sides of length 2,x, and 11 are inscribed on the arc of a semi-circle. The law of cosines applied twice gives the answer for x of exactly 7, but the arithmetic is so complex that the...
Is it possible to arrange six pencils such that each one touches the other five? If so, how? This is an adaption of a Martin Gardner puzzle only I changed it from cigarettes to pencils and left out the clues because PF folks don’t need clues. From the book “My Best Mathematical and Logic Puzzles”. Dover, 1994.

Similar threads

Back
Top