MHB Find $\left| a-b \right|$: Vectors and Magnitude

  • Thread starter Thread starter ineedhelpnow
  • Start date Start date
  • Tags Tags
    Magnitude Vectors
ineedhelpnow
Messages
649
Reaction score
0
find $a+b, 2a+3b, \left| a \right|, \left| a-b \right|$

$a=\left\langle 5,-12 \right\rangle$
$b=\left\langle -3,-6 \right\rangle$

ive found all of them except the last one. how to do i find $\left| a-b \right|$
 
Physics news on Phys.org
nvm i got it. answer's 10.
 
Ok this is my first question to answer
In a+b we sum components to components to get the result in tthe image

in 2a + 3b we multiply a by 2 y b by 3 then we aplly the methods of exercise 1

in A module we apply the pitagoprean formula to get the sqrt 36 = 6
View attachment 2978
Any observations please let me know
oh yes Module A is sqrt(5^2 + 12 ^2) = sqrt(169) = 13
 

Attachments

  • integral.gif
    integral.gif
    1.6 KB · Views: 90
Last edited:
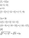
here's what i did :) sorry for my handwriting. i did the problem real quick so it came out kind of sloppy. it should be right because that's what the back of my book has for answers.
View attachment 2979
 

Attachments

  • DSC00031.JPG
    DSC00031.JPG
    18.8 KB · Views: 92
you got a bit mixed up with the signs on the a+b and with 2a+3b there was a bit of confusion with what's a and b ;) but i think OVERALL we have the same idea in our steps :) thanks for your help though
 
ineedhelpnow said:
here's what i did :) sorry for my handwriting. i did the problem real quick so it came out kind of sloppy. it should be right because that's what the back of my book has for answers.
View attachment 2979

Since when is -12 + (-6) equal to -6?
 
since i dropped my brain and forgot to pick it up

- - - Updated - - -

actually my mistake there was that i put -(-6) instead of +(-6). if it were the other way i would be right :)
 
Back
Top