MHB Find the derivative of the antiderivative

Umar
Messages
36
Reaction score
0
I know it seems pretty self explanatory, but I've tried to do this question and I've apparently gotten the wrong answer twice.

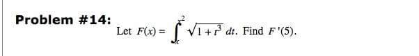
View attachment 6169

If anyone can give me a clear solution to the problem, that would be greatly aooreciated. I initially tried to follow a video I saw online, but I think there is something different I need to do considering the bounds. Maybe splitting the integral?
 

Attachments

  • received_1264397230298660.jpeg
    received_1264397230298660.jpeg
    3.3 KB · Views: 93
Physics news on Phys.org
By the FTOC and the Chain Rule, we have:

$$\frac{d}{dx}\int_{g(x)}^{h(x)} f(t)\,dt=f(h(x))\frac{dh}{dx}-f(g(x))\frac{dg}{dx}$$

Can you use this rule to compute $F'(x)$?
 
Back
Top