MHB Fundamental Theorem of Calculus Questions

akbarali
Messages
19
Reaction score
0
Last one for the night!

These are the questions: View attachment 792

This is my work: View attachment 793

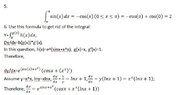
I think question 5 is correct (I hope), but I'm not entirely sure about question 6. Any help would be appreciated!
 

Attachments

  • Fundamental1.jpg
    Fundamental1.jpg
    13.2 KB · Views: 92
  • Fundamental2.jpg
    Fundamental2.jpg
    29.1 KB · Views: 93
Physics news on Phys.org
For the first one, I agree with your result. Good work! (Rock)

For the second one, the derivative form of the FTOC gives us:

If:

$$G(x)=\int_a^x f(t)\,dt$$

then:

$$G'(x)=f(x)$$

You have cited a more general case, but can you see that you have added something to your result which should not be there?
 
Hmm, are you saying the answer should just be exp(sin(x)+ x^x) ?
 
Yes, your formula doesn't have $h'(x)$ in it, right?
 
Is there any way you would work these problems differently from how I did that would help me better solve such problems in the future?
 
The first problem I would write:

$$\int_0^{\pi}\sin(x)\,dx=-\left[\cos(x) \right]_0^{\pi}=-\left(\cos(\pi)-\cos(0) \right)=-(-1-1)=-(-2)=2$$

For the second problem, I would simply write:

$$\frac{d}{dx}\left(\int_0^x e^{\sin(s)+s^s}\,ds \right)=e^{\sin(x)+x^x}$$
 
You have been helping me all night. So grateful for your work. I have two more problems that are bugging the heck out of me, but I think I should let you rest for the night! Hehe
 
Back
Top