MHB Given probability density function find its cumulative distribution function

AI Thread Summary
The discussion revolves around finding the cumulative distribution function (CDF) from a given probability density function (PDF) of a random variable X. The user attempted two integration methods to derive the CDF, both involving the arctangent function. The correct CDF is identified as (2/π)arctan(x) + 1/2, with a note on a minor error in the closing parenthesis in the user's second attempt. The forum members confirm that the second method is the appropriate approach for determining the CDF. The conversation highlights the importance of careful notation in mathematical expressions.
sofanglom
Messages
1
Reaction score
0
Hi :) Here's my problem along with what I've done.

Here is the problem:

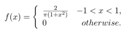
View attachment 8716

That is the p.d.f. of a random variable X.

I have to find the cdf. I don't know which I should do so I tried it two ways. First:

$\int_{-1}^{1} \ \frac{2}{\pi(1+x^{2})} dx = {{\frac{2}{\pi} arctan(x)]}^{1}}_{-1}=1$

Second:

$\int_{-1}^{x} \ \frac{2}{\pi(1+t^{2})} dt = {{\frac{2}{\pi} arctan(x)]}^{x}}_{-1}=\frac{2(arctan(x)+\frac{\pi}{4}}{\pi}$

Which one is the required CDF for X?
 

Attachments

  • save.PNG
    save.PNG
    1.6 KB · Views: 100
Mathematics news on Phys.org
Hi, and welcome to the forum!

Which one is the required CDF for X?
The second one, except for the missing closing parenthesis. That is, the CDF is $\dfrac{2}{\pi}\arctan x+\dfrac12$.
 
Seemingly by some mathematical coincidence, a hexagon of sides 2,2,7,7, 11, and 11 can be inscribed in a circle of radius 7. The other day I saw a math problem on line, which they said came from a Polish Olympiad, where you compute the length x of the 3rd side which is the same as the radius, so that the sides of length 2,x, and 11 are inscribed on the arc of a semi-circle. The law of cosines applied twice gives the answer for x of exactly 7, but the arithmetic is so complex that the...
Thread 'Imaginary Pythagoras'
I posted this in the Lame Math thread, but it's got me thinking. Is there any validity to this? Or is it really just a mathematical trick? Naively, I see that i2 + plus 12 does equal zero2. But does this have a meaning? I know one can treat the imaginary number line as just another axis like the reals, but does that mean this does represent a triangle in the complex plane with a hypotenuse of length zero? Ibix offered a rendering of the diagram using what I assume is matrix* notation...
Fermat's Last Theorem has long been one of the most famous mathematical problems, and is now one of the most famous theorems. It simply states that the equation $$ a^n+b^n=c^n $$ has no solutions with positive integers if ##n>2.## It was named after Pierre de Fermat (1607-1665). The problem itself stems from the book Arithmetica by Diophantus of Alexandria. It gained popularity because Fermat noted in his copy "Cubum autem in duos cubos, aut quadratoquadratum in duos quadratoquadratos, et...
Back
Top