MHB How Do You Prove Limits at Infinity?

  • Thread starter Thread starter goody1
  • Start date Start date
  • Tags Tags
    Definition Limit
AI Thread Summary
To prove limits at infinity, the discussion focuses on two specific limits: the first, $$\lim_{x\to\infty}\frac{x-1}{x+2} = 1$$, requires demonstrating that for any $\varepsilon > 0$, there exists an $N$ such that $$\left|\frac{x-1}{x+2} - 1\right| < \varepsilon$$ for $x > N$. The second limit, $$\lim_{x\to-1}\frac{-1}{(x+1)^2} = -\infty$$, involves showing that for any $M$, a $\delta > 0$ can be found such that $$\frac{-1}{(x+1)^2} < -M$$ when $|x+1| < \delta$. The conversation emphasizes the importance of simplifying expressions and finding appropriate bounds for $N$ and $\delta$. Ultimately, understanding these definitions and calculations is crucial for proving limits at infinity effectively.
goody1
Messages
16
Reaction score
0
Hi, can anybody help me with this two limits? I have to prove them by the definition of limit. Thank you in advance.
View attachment 9630 View attachment 9631
 

Attachments

  • limitka.png
    limitka.png
    1.1 KB · Views: 130
  • limitka2.png
    limitka2.png
    1.3 KB · Views: 111
Mathematics news on Phys.org
goody said:
Hi, can anybody help me with this two limits? I have to prove them by the definition of limit. Thank you in advance.
Hi Goody, and welcome to MHB!

To prove that $$\lim_{x\to\infty}\frac{x-1}{x+2} = 1$$, you have to show that, given $\varepsilon > 0$, you can find $N$ such that $$\left|\frac{x-1}{x+2} - 1\right| < \varepsilon$$ whenever $x>N$.

So, first you should simplify $$\left|\frac{x-1}{x+2} - 1\right|$$. Then you should see how large $x$ has to be in order to make that expression less than $\varepsilon$.

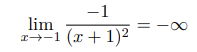
To prove that $$\lim_{x\to-1}\frac{-1}{(x+1)^2} = -\infty$$, you have to show that, given $M$, you can find $\delta>0$ such that $$\frac{-1}{(x+1)^2} < -M$$ whenever $|x+1| < \delta$. That is actually an easier calculation than the first one, so you might want to try that one first.
 
Hi Opalg! Do you think I got it correct?
View attachment 9633
 

Attachments

  • what.png
    what.png
    2.8 KB · Views: 108
goody said:
Hi Opalg! Do you think I got it correct?
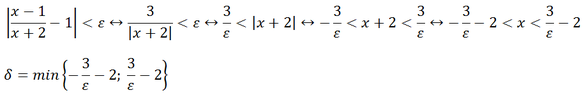
Not quite, although you started correctly. The limit in this case is as $x\to\infty$, so you want to see what happens when $x$ gets large. This means that the inequality $\dfrac3{|x+2|}<\varepsilon$ has to hold for all $x$ greater than $N$ (where you think of $N$ as being a large number).

Write the inequality as $|x+2| > \dfrac3\varepsilon$, and you see that this will be true if $x > \dfrac3\varepsilon -2$. So you can take $N = \dfrac3\varepsilon -2$. More simply, you could take $N = \dfrac3\varepsilon$, which will satisfy the required condition with a bit to spare.
 
Seemingly by some mathematical coincidence, a hexagon of sides 2,2,7,7, 11, and 11 can be inscribed in a circle of radius 7. The other day I saw a math problem on line, which they said came from a Polish Olympiad, where you compute the length x of the 3rd side which is the same as the radius, so that the sides of length 2,x, and 11 are inscribed on the arc of a semi-circle. The law of cosines applied twice gives the answer for x of exactly 7, but the arithmetic is so complex that the...
Thread 'Imaginary Pythagoras'
I posted this in the Lame Math thread, but it's got me thinking. Is there any validity to this? Or is it really just a mathematical trick? Naively, I see that i2 + plus 12 does equal zero2. But does this have a meaning? I know one can treat the imaginary number line as just another axis like the reals, but does that mean this does represent a triangle in the complex plane with a hypotenuse of length zero? Ibix offered a rendering of the diagram using what I assume is matrix* notation...
Fermat's Last Theorem has long been one of the most famous mathematical problems, and is now one of the most famous theorems. It simply states that the equation $$ a^n+b^n=c^n $$ has no solutions with positive integers if ##n>2.## It was named after Pierre de Fermat (1607-1665). The problem itself stems from the book Arithmetica by Diophantus of Alexandria. It gained popularity because Fermat noted in his copy "Cubum autem in duos cubos, aut quadratoquadratum in duos quadratoquadratos, et...
Back
Top