MHB How Does Modifying Numerator and Denominator Affect the Value of a Fraction?

  • Thread starter Thread starter emon2001
  • Start date Start date
AI Thread Summary
Modifying the numerator and denominator of a fraction can significantly alter its value, as demonstrated in the discussion. The user presents a math problem involving the equations 3x - 2y = -1 and 2x - y = 1, derived from manipulating the fraction x/y. By adding or subtracting 1 from both the numerator and denominator, different equations are formed, leading to a system that can be solved for x and y. The key takeaway is that understanding how changes to the numerator and denominator affect the fraction's value is essential for solving such equations. The conversation emphasizes the importance of algebraic manipulation in finding solutions to fraction-related problems.
emon2001
Messages
1
Reaction score
0
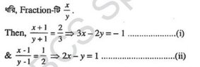
Hello, I am recently suffering from a math question that even my teacher can not answer. Please have a look at the image( sorry for low resolution ) . Here you can see the result of the equation is 3x - 2y = -1 . I don't know what is the rules here. Please somebody explain this to me how this work. Thanks for reading this.
 

Attachments

  • fraction.jpg
    fraction.jpg
    7.9 KB · Views: 100
Mathematics news on Phys.org
Hi emon2001, welcome to MHB!

I don't quite understand what you wanted us to do. Do you mean to ask for the value for $\dfrac{x}{y}$, given the system of equations?
 
There is NO question here!

We are given a fraction, $\frac{x}{y}$.

Apparently we are told that if we add 1 to both numerator and denominator we get $\frac{2}{3}$. That is, $\frac{x+1}{y+ 1}= \frac{2}{3}$. Multiplying both sides by 3(y+ 1) gives 3(x+ 1)= 2(y+ 1) so 3x+ 3= 2y+ 2. Subtract 2y+ 3 from both sides to get 3x- 2y= -1.

We are also told that if we subtract 1 from both numerator and denominator we get $\frac{1}{2}$. That is, $\frac{x- 1}{y- 1}= \frac{1}{2}$. Multiplying both sides by 2(y-1) gives 2(x- 1)= y- 1 so 2x- 2= y- 1. Subtract y and add 2 to both sides to get 2x- y= 1.

We now have the two equations 3x- 2y= -1 and 2x- y= 1 and, I presume, want to find values of x and y that satisfy both equations. From the second equation y= 2x- 1. Replace y in 3x- 2y= -1 by that to get an equation in x only and solve that equation for x. Then use y= 2x- 1 with that value of x to find y.
 
Last edited:
Seemingly by some mathematical coincidence, a hexagon of sides 2,2,7,7, 11, and 11 can be inscribed in a circle of radius 7. The other day I saw a math problem on line, which they said came from a Polish Olympiad, where you compute the length x of the 3rd side which is the same as the radius, so that the sides of length 2,x, and 11 are inscribed on the arc of a semi-circle. The law of cosines applied twice gives the answer for x of exactly 7, but the arithmetic is so complex that the...
Back
Top