MHB How many walks of length $n$ can you find on this graph?

  • Thread starter Thread starter Ackbach
  • Start date Start date
  • Tags Tags
    2015
Ackbach
Gold Member
MHB
Messages
4,148
Reaction score
93
Here is this week's POTW:

-----

For the following graph, find the number of walks of length $n$ from any vertex to any other vertex. Use of technology is allowed (but explain what you did and how you did it).

https://www.physicsforums.com/attachments/4470._xfImport

-----

Remember to read the http://www.mathhelpboards.com/showthread.php?772-Problem-of-the-Week-%28POTW%29-Procedure-and-Guidelines to find out how to http://www.mathhelpboards.com/forms.php?do=form&fid=2!
 

Attachments

  • Length_of_Walk_Graph.png
    Length_of_Walk_Graph.png
    5.3 KB · Views: 144
Physics news on Phys.org
No one solved this week's University POTW. Here is my solution.

First, you start with the adjacency matrix, where the $i,j$th entry in the matrix represents the number of paths from vertex $i$ to vertex $j$. Using Mathematica (really Wolfram Programming Cloud), I assigned this as follows:

Code:
A={{0.,1,1,1,1,1},{1,0,1,0,0,0},{1,1,0,2,1,0},{1,0,2,0,2,0},{1,0,1,2,0,1},{1,0,0,0,1,0}} ; A//MatrixForm

The result was

$$\begin{bmatrix}
0. &1 &1 &1 &1 &1 \\
1 &0 &1 &0 &0 &0 \\
1 &1 &0 &2 &1 &1 \\
1 &0 &2 &0 &2 &0 \\
1 &0 &1 &2 &0 &1 \\
1 &0 &0 &0 &1 &0
\end{bmatrix}$$

Because the graph is not directed, this matrix is by necessity symmetric, and therefore diagonalizable.

Further executing the steps

Code:
vecs=Eigenvectors[A]
Diag=Inverse[Transpose[vecs]].A.Transpose[vecs] //Chop;
Diag // Chop // MatrixForm

produced the diagonal matrix similar to $A$. Moreover, as a check,
Code:
Transpose[vecs].Diag.Inverse[Transpose[vecs]] //Chop //MatrixForm
produced $A$ back at me. Note that I introduced decimals to force Wolfram Programming Cloud to recognize the need for numerical computations. Unfortunately, the symbolic approach was far too unwieldy, as finding the eigenvalues involved solving a sixth-order polynomial - not even possible in principle.

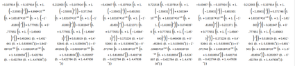
Now for the crux of the matter. It can be shown that the $i,j$th entry of $A^n$ gives the number of walks of length $n$ from vertex $i$ to vertex $j$. Hence, this diagonalization is precisely what is needed to compute the $n$th power of $A$. If $D$ is the diagonal matrix similar to $A$ - that is, $A=P^{-1}DP$ for some invertible $P$ - then $A^n=P^{-1}D^n P$, and $D^n$ turns out to be exceptionally easy to compute. All we have to do is exponentiate the main diagonals, and then perform the matrix multiplication indicated to get $A^n$. The result was quite a challenge to display. First the code:

Code:
Transpose[vecs].MatrixPower[Diag,n].Inverse[Transpose[vecs]] //MatrixForm

I had to take six screenshots, one for each row, to get the full results to show up here on MHB. There is far too much text for a single post otherwise. Here they are:

View attachment 4489View attachment 4490View attachment 4491View attachment 4492View attachment 4493View attachment 4494

Once you've attained this result, it's not difficult to get the result for any particular $n$. Just execute (for $n=3$, say) the code

Code:
Transpose[vecs].MatrixPower[Diag,3].Inverse[Transpose[vecs]] //MatrixForm

and you'll get the correct result.
 

Attachments

  • First Row Length of Walk.png
    First Row Length of Walk.png
    25.6 KB · Views: 130
  • Second Row Length of Walk.png
    Second Row Length of Walk.png
    23.3 KB · Views: 107
  • Third Row Length of Walk.png
    Third Row Length of Walk.png
    23.8 KB · Views: 111
  • Fourth Row Length of Walk.png
    Fourth Row Length of Walk.png
    25.6 KB · Views: 128
  • Fifth Row Length of Walk.png
    Fifth Row Length of Walk.png
    24 KB · Views: 126
  • Sixth Row Length of Walk.png
    Sixth Row Length of Walk.png
    23.4 KB · Views: 114

Similar threads

Back
Top