MHB How to calculate this type of integral

  • Thread starter Thread starter zhaojx84
  • Start date Start date
  • Tags Tags
    Integral Type
zhaojx84
Messages
8
Reaction score
0
Could anyone can tell me how to calculate this type of intergretion. Thanks very much
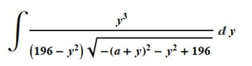
$$\int\frac{{y}^{3}}{(196 - {y}^{2})\times \sqrt{196 - {y}^{2} - {a + y}^{2}}}$$
View attachment 7724
 

Attachments

  • 新建位图图像4.jpg
    新建位图图像4.jpg
    7.3 KB · Views: 132
Last edited by a moderator:
Physics news on Phys.org
Re: How to calculate this type of intergretion

Your integral does not match the integral in the picture. Which one are you trying to evaluate?
 
zhaojx84 said:
Could anyone can tell me how to calculate this type of intergretion. Thanks very much
$$\int\frac{{y}^{3}}{(196 - {y}^{2})\times \sqrt{196 - {y}^{2} - {a + y}^{2}}}$$

I'll assume that the picture is the actual integral you are trying to solve...

$\displaystyle \begin{align*} \int{ \frac{y^3}{\left( 196 - y^2 \right) \,\sqrt{-\left( a + y \right) ^2 - y^2 + 196}} \,\mathrm{d}y } &= -\frac{1}{2} \int{ \frac{y^2}{\left( 196 - y^2 \right) \,\sqrt{ -\left( a + y \right) ^2 - y^2 + 196 }} \,\left( -2\,y \right) \,\mathrm{d}y } \end{align*}$

Let $\displaystyle \begin{align*} u = 196 - y^2 \implies \mathrm{d}u = -2\,y\,\mathrm{d}y \end{align*}$ and the integral becomes

$\displaystyle \begin{align*} -\frac{1}{2} \int{\frac{y^2}{\left( 196 - y^2 \right) \,\sqrt{-\left( a + y \right) ^2 - y^2 + 196}}\,\left( -2\,y \right) \,\mathrm{d}y} &= -\frac{1}{2} \int{ \frac{196 - u}{u\,\sqrt{ \left( a + u - 196 \right) ^2 - u }} \,\mathrm{d}u } \end{align*}$

Does this seem a bit more manageable?
 
Re: How to calculate this type of intergretion

Euge said:
Your integral does not match the integral in the picture. Which one are you trying to evaluate?
The integration in the figure is what I want to calculate.
Thanks very much for your help.
 
Prove It said:
I'll assume that the picture is the actual integral you are trying to solve...

$\displaystyle \begin{align*} \int{ \frac{y^3}{\left( 196 - y^2 \right) \,\sqrt{-\left( a + y \right) ^2 - y^2 + 196}} \,\mathrm{d}y } &= -\frac{1}{2} \int{ \frac{y^2}{\left( 196 - y^2 \right) \,\sqrt{ -\left( a + y \right) ^2 - y^2 + 196 }} \,\left( -2\,y \right) \,\mathrm{d}y } \end{align*}$

Let $\displaystyle \begin{align*} u = 196 - y^2 \implies \mathrm{d}u = -2\,y\,\mathrm{d}y \end{align*}$ and the integral becomes

$\displaystyle \begin{align*} -\frac{1}{2} \int{\frac{y^2}{\left( 196 - y^2 \right) \,\sqrt{-\left( a + y \right) ^2 - y^2 + 196}}\,\left( -2\,y \right) \,\mathrm{d}y} &= -\frac{1}{2} \int{ \frac{196 - u}{u\,\sqrt{ \left( a + u - 196 \right) ^2 - u }} \,\mathrm{d}u } \end{align*}$

Does this seem a bit more manageable?
Thanks for your help.
However, the substitution in the sqrt root is not correct.
 
zhaojx84 said:
Thanks for your help.
However, the substitution in the sqrt root is not correct.

Yes I shouldn't try to help while tired haha. I'm sure you can fix it though :)
 
Prove It said:
Yes I shouldn't try to help while tired haha. I'm sure you can fix it though :)
Could you help me later? I cannot figure it out. Thanks very much!
 
Back
Top