MHB List all values of x for which each rational expression is undefined.

AI Thread Summary
The discussion focuses on identifying the values of x that make the rational expression undefined, specifically for the expression (x^2-9)/(x^2-3x-10). The key point is that a rational expression is undefined when its denominator equals zero, leading to the conclusion that x = 5 and x = -2 are the values that make the expression undefined. Participants discuss the process of factoring both the numerator and denominator to find these values, emphasizing the importance of setting the denominator to zero. Additionally, they clarify that division by zero is not possible, which is the root of the undefined nature of the expression. Overall, the thread highlights the significance of understanding rational expressions and the methods to determine their undefined points.
OMGMathPLS
Messages
64
Reaction score
0
List all values of x for which each rational expression is undefined:

$$\frac{x^2-9}{x^2-3x-10}$$

Answer is 3, -3

q1) Are these -, and positive answer interchangeable ones because it is a rational expression so when I see rational that's going to signal it's going to need 2 answers (either positive or negative) or is it the list all values that clues me in? Or is the word undefined?

q2) And then to actually solve it. How do I start reducing or icing the individual variables out when it's in a fraction? I'm really sorry if I sound ignorant. Since there's no = sign I'm not sure how to do it over a fraction. Thanks if anyone can help.
 
Last edited by a moderator:
Mathematics news on Phys.org
correct me if I am wrong but the polynomial is undefined when the denominator is equal to zero. not the numerator. how is it undefined at 3 and -3?

jameson thanked it. that means I am right (Blush) the polynomial is undefined
at x=5 and x=-2 because that results in having a 0 in the denominator which causes the equation to become undefined.
 
A fraction is indeed undefined if the denominator is equal to zero. Whenever I see an expression in the form of $ax^2+bx+c$ in these kinds of problems, I try to see if factoring seems possible.

This is what we have: $$\frac{x^2-9}{x^2-3x-10}$$

We can break the numerator into two things as well as the denominator. I'll do the numerator and you try the denominator.

$x^2-9=(x+3)(x-3)$

$x^2-3x-10=$ ?
 
ineedhelpnow said:
(Tmi) uuuum jameson... i kinda gave it away in the last post...kinda

I saw, not necessary to announce though. We usually try to avoid giving full answers but it's ok.
 
Ok, so when the denominator (bottom) is zero that mean undefined.

So I see you can break the numerator into a thing like f.o.i.l.

So I'm assuming you set the denominator to zero and then work it like that? I think I remember this from class.

So when I see rational expression undefined I know that is code for set the denominator to zero. Thanks.
 
OMGMathPLS said:
...So I see you can break the numerator into a thing like f.o.i.l. ...

This is called factoring (and I think you mean denominator here). Finding the root (values of the variable for which a polynomial is zero) is made easier by factoring, because if a factor of an expression is equal to zero, then the entire expression is equal to zero. This is called the zero-factor property. :D

Division by zero causes an expression to be undefined, that is, we cannot assign a value to it.
 
MarkFL said:
This is called factoring (and I think you mean denominator here). Finding the root (values of the variable for which a polynomial is zero) is made easier by factoring, because if a factor of an expression is equal to zero, then the entire expression is equal to zero. This is called the zero-factor property. :D

Division by zero causes an expression to be undefined, that is, we cannot assign a value to it.

But he factored the x^2- 9 the numerator, the top part, right?

Is dividing by zero even possible? So, there's only whole numbers integers that are defined because they're defined by a number but only zero can be undefined because 0 doesn't define anything? Is that right?
 
OMGMathPLS said:
But he factored the x^2- 9 the numerator, the top part, right?

Is dividing by zero even possible? So, there's only whole numbers integers that are defined because they're defined by a number but only zero can be undefined because 0 doesn't define anything? Is that right?

Factoring the numerator will help you to find the roots of the entire expression, because when the numerator of a fraction is zero, then the entire fraction is zero (as long as the denominator is not also zero). It may also help you simplify the expression for graphing if there are any factors common to both the numerator and denominator, but you still have to consider the original expression to be undefined for all roots of the denominator. You will have a hole in the graph if the singularity is removable (i.e., there was a factor that could be divided out or cancelled), or you will have a vertical asymptote if there were no common factors.

Division by zero results in an undefined expression...typically the magnitude of the expression (when there are no factors to cancel) grows without bound, that is it tends to infinity. The smaller the magnitude of the denominator, the larger the magnitude of the fraction for a given non-zero value of the numerator.

Typically when we use $x$, we are using a continuous variable, which may be any real value in the domain of the expression, not just integers or whole numbers.

So, in a nutshell, when you are asked to find the values of $x$ (or whatever variables the expression contains) for which the given expression is undefined, then you want to find the roots of the denominator, and those are the values you are seeking. If your expression is only defined for real numbers, then you want to also exclude any values which cause even roots (such as square roots) to have negative values under them. There are other restrictions when using logarithmic and inverse trigonometric functions, but for now, I think you are only to concern yourself with zeroes in the denominator. :D
 
Jameson said:
A fraction is indeed undefined if the denominator is equal to zero. Whenever I see an expression in the form of $ax^2+bx+c$ in these kinds of problems, I try to see if factoring seems possible.

This is what we have: $$\frac{x^2-9}{x^2-3x-10}$$

We can break the numerator into two things as well as the denominator. I'll do the numerator and you try the denominator.

$x^2-9=(x+3)(x-3)$

$x^2-3x-10=$ ?
Ok, I tried but I know I'm really bad at this. View attachment 3182
 

Attachments

  • wrongiknow.jpg
    wrongiknow.jpg
    24 KB · Views: 98
  • #10
While you can find the roots of a quadratic by completing the square or even using the quadratic formula, it is often simpler to just try to factor first. The expression is:

$$x^2-3x-10=0$$

So, what I would do here is first look at the product of the coefficient of the squared term and the constant term, which is:

$$1(-10)=-10$$

So, we want two factors of $-10$ whose sum is the coefficient of the linear term, which is $-3$. Can you think of two numbers whose product is $-10$ and whose sum is $-3$?
 
  • #11
MarkFL said:
While you can find the roots of a quadratic by completing the square or even using the quadratic formula, it is often simpler to just try to factor first. The expression is:

$$x^2-3x-10=0$$

So, what I would do here is first look at the product of the coefficient of the squared term and the constant term, which is:

$$1(-10)=-10$$

So, we want two factors of $-10$ whose sum is the coefficient of the linear term, which is $-3$. Can you think of two numbers whose product is $-10$ and whose sum is $-3$?

yes, -5 and 2 =-10
and -5 +2 = -3
 
  • #12
OMGMathPLS said:
yes, -5 and 2 =-10
and -5 +2 = -3

Yes, good! (Yes)

Now, since the coefficient of the squared term is $1$, then we know the factored form will be:

$$(x+r_1)(x+r_2)$$

So, plug the two numbers you found in for $r_1$ and $r_2$, and you will have your factorization. What do you get?
 
  • #13
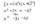
I got this: View attachment 3183

But the foil part is easy. It's how to know to get the r1 and r2?

Why is it called r1 and r2?
 

Attachments

  • Igotthis.jpg
    Igotthis.jpg
    17.3 KB · Views: 98
  • #14
OMGMathPLS said:
I got this: View attachment 3183

But the foil part is easy. It's how to know to get the r1 and r2?

Why is it called r1 and r2?

Getting the two numbers may take some trial and error, and like anything else, you get better at it with practice. One thing you can do is if given a quadratic in the form:

$$ax^2+bx+c$$

First check the discriminant $\Delta$, defined as:

$$\Delta=b^2-4ac$$

If that number is not a perfect square, then the roots are irrational, and so completing the square or using the quadratic formula is the way to proceed.

If $\Delta$ is a perfect square, then you know factoring in the traditional sense will work. You are then looking for two factors of $ac$ whose sum is $b$.

I simply used $r_1$ and $r_2$ as placeholders for the two numbers...any parameters would work there.

So, you wrote:

$$(x+(-5))(x+(2))$$

We may simplify this as:

$$(x-5)(x+2)$$

So now you want to equate each factor in turn to zero, and solve for $x$, and these two values will be the values of $x$ for which the denominator is zero, and hence for which the given rational expression is undefined. :D
 
  • #15
MarkFL said:
Getting the two numbers may take some trial and error, and like anything else, you get better at it with practice. One thing you can do is if given a quadratic in the form:

$$ax^2+bx+c$$

First check the discriminant $\Delta$, defined as:

$$\Delta=b^2-4ac$$

If that number is not a perfect square, then the roots are irrational, and so completing the square or using the quadratic formula is the way to proceed.

If $\Delta$ is a perfect square, then you know factoring in the traditional sense will work. You are then looking for two factors of $ac$ whose sum is $b$.

I simply used $r_1$ and $r_2$ as placeholders for the two numbers...any parameters would work there.

So, you wrote:

$$(x+(-5))(x+(2))$$

We may simplify this as:

$$(x-5)(x+2)$$

So now you want to equate each factor in turn to zero, and solve for $x$, and these two values will be the values of $x$ for which the denominator is zero, and hence for which the given rational expression is undefined. :D
I'm not sure what you want me to do. Do you want me to plug in the values for x?
 
  • #16
OMGMathPLS said:
I'm not sure what you want me to do. Do you want me to plug in the values for x?

If you have an expression made up of one or more factors, then that expression will be zero when any of the factors are zero since zero times any finite number is zero. So, take each factor, equate it to zero (set it equal to zero) and then solve for $x$:

$$x-5=0\implies x=?$$

$$x+2=0\implies x=?$$
 
  • #17
Mark is very nicely explaining the relationship between zeroes and factors. Students often believe these are the same thing but they are the opposite sign of each other. If you have this expression:

$(x-5)(x+2)=0$

Then it is in factored form but the zeroes are not -5 and 2 as many might think. Mark's posts are covering why that is. :)
 
  • #18
Jameson said:
Mark is very nicely explaining the relationship between zeroes and factors. Students often believe these are the same thing but they are the opposite sign of each other. If you have this expression:

$(x-5)(x+2)=0$

Then it is in factored form but the zeroes are not -5 and 2 as many might think. Mark's posts are covering why that is. :)

I'm sorry. I am not very good at math. I don't really understand a lot of stuff. Like that triangle. Is it ok to be here? I feel like you guys all have Ph.Ds and maybe I'm not supposed to be here because I'm not on your level.
 
  • #19
OMGMathPLS said:
I'm sorry. I am not very good at math. I don't really understand a lot of stuff. Like that triangle. Is it ok to be here? I feel like you guys all have Ph.Ds and maybe I'm not supposed to be here because I'm not on your level.

Please don't apologize for asking for help here. :) That's the whole purpose of this site. We want to help you, promise. No question is too simple as long as you want to improve your skills. It might seem like everyone here is an expert, and we do have wonderful mathematicians here, but remember most of us have been focusing on math for years, if not decades.

Anyway, can you try to explain where you feel stuck or what concept you would like to know for this problem?
 
  • #20
OMGMathPLS said:
I'm sorry. I am not very good at math. I don't really understand a lot of stuff. Like that triangle. Is it ok to be here? I feel like you guys all have Ph.Ds and maybe I'm not supposed to be here because I'm not on your level.

That triangle is the capital Greek letter delta, and is often used to denote a discriminant. If you have not studied the quadratic formula yet, then just disregard what I said about the discriminant for now.

We welcome your presence here and your participation...if something we say as explanation is not clear, then by all means please ask for clarification. We want to help you learn, and always appreciate someone who is making an effort to learn as you are clearly showing.

We do not expect any level of proficiency here, we only ask that people make an effort to work the problem using the help given. You are doing well in this regard. :D
 
  • #21
MarkFL said:
That triangle is the capital Greek letter delta, and is often used to denote a discriminant. If you have not studied the quadratic formula yet, then just disregard what I said about the discriminant for now.

We welcome your presence here and your participation...if something we say as explanation is not clear, then by all means please ask for clarification. We want to help you learn, and always appreciate someone who is making an effort to learn as you are clearly showing.

We do not expect any level of proficiency here, we only ask that people make an effort to work the problem using the help given. You are doing well in this regard. :D
Ok, thanks. I absolutely have to pass this college algebra class and I am just not a good math person. I'm watching videos online and trying this forum and going to the tutors so thanks for helping me. I honestly am just not astute at all the math terminology and I guess am mostly looking for a walkthrough on how to do stuff I missed. Sometimes I don't know how to phrase what I am confused about. But you have really made me feel there's hope. I think I will try to practice more on skills and doing stuff and then when I get really stuck I will come here so I cam be more specific about what I'm stuck with.

Thanks Vladimir, jellyfish, Newtown/Rush.
 
Back
Top