MHB Proving an Integral with a Direct Proof & Epsilon Argument

joypav
Messages
149
Reaction score
0
Okay, these are my last questions and then I'll get out of your hair for a while.

For 1, I have already done a proof by contradiction, but I'm supposed to also do a direct proof. Seems like it should be simple?

For 2, this seems obvious because it's the definition of an integral. My delta is 1/n. So I should try choosing a smart point, then I need to use an epsilon argument to prove that they are equal?

View attachment 6493
 

Attachments

  • summation.jpg
    summation.jpg
    10.2 KB · Views: 154
Physics news on Phys.org
Hi joypav,
joypav said:
Okay, these are my last questions and then I'll get out of your hair for a while.

You're not bothering us with your questions, so feel free to ask whenever you have trouble. :)
joypav said:
For 1, I have already done a proof by contradiction, but I'm supposed to also do a direct proof. Seems like it should be simple?

The problem is impossible. For we cannot have both $f(x) > 0$ for all $x\in [a,b]$, and also $f(x) = 0$ for all $x\in [a,b]$. In fact, if $f(x) > 0$ for all $x\in [a,b]$, then $\int_a^b f > 0$. The correct statement would be as follows:

Suppose $f$ is continuous on $[a,b]$ with $f(x) \ge 0$ for all $x\in [a,b]$. If $\int_a^b f = 0$, then $f(x) = 0$ for all $x\in [a,b]$.

joypav said:
For 2, this seems obvious because it's the definition of an integral. My delta is 1/n. So I should try choosing a smart point, then I need to use an epsilon argument to prove that they are equal?

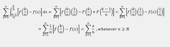
That won't work. The $\delta$ chosen should be independent of $n$. Here's what we can do. Continuity of $f$ on the closed interval $[a,b]$ implies uniform continuity of $f$. Given $\epsilon > 0$, choose $\delta > 0$ in the definition of uniform continuity of $f$. Choose a positive integer $N$ such that $\frac{1}{N} < \delta$, write

$$\frac{1}{n}\sum_{k = 1}^n f\left(\frac{k}{n}\right) - \int_0^1 f(x)\, dx = \sum_{k = 1}^n \int_{(k-1)/n}^{k/n} \left[f\left(\frac{k}{n}\right) - f(x)\right]\, dx$$

and show that the integrals on the right hand side are bounded by $\frac{\epsilon}{n}$ whenever $n \ge N$.
 
Euge said:
The problem is impossible. For we cannot have both $f(x) > 0$ for all $x\in [a,b]$, and also $f(x) = 0$ for all $x\in [a,b]$. In fact, if $f(x) > 0$ for all $x\in [a,b]$, then $\int_a^b f > 0$. The correct statement would be as follows:

Yes, I'm sorry, you're right. I copied it down wrong.
But also, I know you could use a proof with measure zero and Lebesgue stuff, but that isn't allowed. It's supposed to be a simple straightforward proof. Reading it, it is obvious, but my first instinct is to assume that there is a point where f is not zero, but that isn't allowed either.
 
View attachment 6494

Is this what you mean? And n needs to be larger than N because we need that for uniform continuity so that we can make f(k/n)-f(x) less than any epsilon, yes? Because k/n will always be in the interval [0,1], so we can use the usual uniform continuity.
 

Attachments

  • problem4.jpg
    problem4.jpg
    12.6 KB · Views: 117
Not quite. Fix $k$. If $n \ge N$ and $x\in \left[\frac{k-1}{n}, \frac{k}{n}\right]$, then $\lvert \frac{k}{n} - x\rvert \le \frac{1}{n} \le \frac{1}{N} < \delta$. Thus, for all $n \ge N$, $\lvert f(k/n) - f(x)\rvert < \epsilon$ for all $x\in \left[\frac{k-1}{n}, \frac{k}{n}\right]$. Hence,

$$\int_{(k-1)/n}^{k/n} \left\lvert f\left(\frac{k}{n}\right) - f(x)\right\rvert\, dx < \frac{\epsilon}{n}\quad (n \ge N)$$
 
Euge said:
Not quite. Fix $k$. If $n \ge N$ and $x\in \left[\frac{k-1}{n}, \frac{k}{n}\right]$, then $\lvert \frac{k}{n} - x\rvert \le \frac{1}{n} \le \frac{1}{N} < \delta$. Thus, for all $n \ge N$, $\lvert f(k/n) - f(x)\rvert < \epsilon$ for all $x\in \left[\frac{k-1}{n}, \frac{k}{n}\right]$. Hence,

$$\int_{(k-1)/n}^{k/n} \left\lvert f\left(\frac{k}{n}\right) - f(x)\right\rvert\, dx < \frac{\epsilon}{n}\quad (n \ge N)$$

Oh, okay, duh. That becomes less than epsilon, because of continuity, but epsilon is a constant. So when you integrate it's just epsilon(b-a).
 
Well, the difference between the Riemann sum and integral is made less than $\epsilon$ in magnitude when $n\ge N$, but since $\epsilon$ was arbitrary, we obtain the desired limit.
 
I got you.
I think these are making much more sense. You have been a big help. This is my first time doing any proofs with integrals and I was very confused on where to start with them. Continuity plays a bigger role than I realized. I wish they'd start doing proofs earlier on.
 
joypav said:
I know you could use a proof with measure zero and Lebesgue stuff, but that isn't allowed. It's supposed to be a simple straightforward proof. Reading it, it is obvious, but my first instinct is to assume that there is a point where f is not zero, but that isn't allowed either.

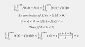
To prove problem 1 directly, fix $x\in [a,b]$ and show that

$$f(x) = \lim_{h\to 0^+} \frac{1}{h}\int_x^{x+h} f(t)\, dt$$

Then show that for all sufficiently small $h > 0$, $\int_x^{x+h} f(t)\, dt = 0$. The limit above will then give $f(x) = 0$ for all $x\in [a,b]$.
 
  • #10
Euge said:
To prove problem 1 directly, fix $x\in [a,b]$ and show that

$$f(x) = \lim_{h\to 0^+} \frac{1}{h}\int_x^{x+h} f(t)\, dt$$

View attachment 6495
Is this correct?
 

Attachments

  • realanalysisprob21.jpg
    realanalysisprob21.jpg
    10.7 KB · Views: 113
  • #11
Almost. You have a typo in the last line: the fraction $\frac{x + h - h}{h}$ should be $$\frac{x + h - \color{red}{x}}{h}$$
 
  • #12
Euge said:
Then show that for all sufficiently small $h > 0$, $\int_x^{x+h} f(t)\, dt = 0$. The limit above will then give $f(x) = 0$ for all $x\in [a,b]$.

And do the same type thing for this? An epsilon-delta argument?
 
  • #13
No. Use the conditions $f \ge 0$ and $\int_a^b f = 0$, along with basic properties of the integral to prove that result.
 
Back
Top