MHB Pseudometrics .... Garling, Proposition 11.1.13 .... ....

  • Thread starter Thread starter Math Amateur
  • Start date Start date
Math Amateur
Gold Member
MHB
Messages
3,920
Reaction score
48
I am reading D. J. H. Garling's book: "A Course in Mathematical Analysis: Volume II: Metric and Topological Spaces, Functions of a Vector Variable" ... ...

I am focused on Chapter 11: Metric Spaces and Normed Spaces ... ...

I need some help to fully understand the proof of Theorem 11.1.13 ...

Garling's statement and proof of Theorem 11.1.13 (together with some other relevant text) reads as follows:
View attachment 8947
View attachment 8948I am having trouble determining exactly what is going on in the above proof by Garling ...

Can someone make clear exactly what Garling is doing in this proof ... ?

I have two specific questions ... which read as follows: Question 1

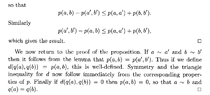
In the above proof by Garling we read the following:

" ... ... Thus if we define $$d( q(a), q(b) ) = p(a,b)$$, this is well-defined ... "

What is Garling doing here ... what does he mean by the above statement ... ?
Question 2

In the above proof by Garling we read the following:

" ... ... Finally if $$d( q(a), q(b) ) = 0$$ then $$p(a, b) = 0$$ so that $$a \sim b$$ and $$q(a) = q(b)$$ ... "

Can someone please explain what is going on here ...
Hope someone can help ..

Peter
 

Attachments

  • Garling - 1 - Proposition 11.1.13 ... ... PART 1 ... .png
    Garling - 1 - Proposition 11.1.13 ... ... PART 1 ... .png
    32 KB · Views: 145
  • Garling - 2 - Proposition 11.1.13 ... ... PART 2 ... .png
    Garling - 2 - Proposition 11.1.13 ... ... PART 2 ... .png
    13.7 KB · Views: 130
Last edited:
Physics news on Phys.org
The big idea here is that there is a strong connection between so-called pseudometrics and regular ol' metrics. What does that look like? Well, the pseudometric retains every property of the regular metric except for the if-and-only-if in this statement:
$$d(x,y)=0\; \iff \; x=y.$$
Instead, we relax it to only one direction:
$$x=y\;\implies\; p(x,y)=0.$$
However, we can define an equivalence relation $\sim$ based on when $p(x,y)=0.$ So we define an equivalence relation thus: $p(x,y)=0$ if and only if $x\sim y$. You can convince yourself that this is an equivalence relation. This is our substitute for the other direction in the if-and-only-if above. What can we do with this? We can look at the quotient space $X/\!\sim$. Eventually, what we'll see is that we can define a regular metric on $X/\!\sim$ that corresponds to the pseudometric on $X.$

What is $q?$ It's a mapping from $X$ to $X/\!\sim$. What does it look like? Well, it maps an element $x\in X$ to its equivalence relation in $X/\!\sim$ thus: $q(x)=[x],$ where the notation $[x]$ means "the equivalence relation containing $x$". (Recall that an equivalence relation on $X$ partitions $X$ into mutually exclusive sets whose union is $X.$ So when we write $[x],$ we mean one of those partition sets - the one that happens to contain $x$.)

Question: is $q$ onto? Does everything in $X/\!\sim$ come from something in $X$ via $q?$ Well, the answer is yes; suppose we take an arbitrary element in $X/\!\sim,$ call it $z.$ Well, $z$ must equal $$ for some $u\in X,$ and hence $q(u)==z,$ making $q$ onto. This is a detail omitted from the proof, but it helps to understand why the author can define $d(q(a), q(b))=p(a,b).$ Why can he write the definition using $q?$ Answer: because $q$ is onto.

Now to answer your first question: concerning the definition of $d,$ why is it well-defined? Answer: a well-defined function is one in which for each $(y,z)\in\mathcal{D}(d)=(X/\!\sim)\times(X/\!\sim),$ there exists a unique $r\in\mathbb{R}^{+}\cup\{0\}$ such that $d(y,z)=r.$ But this must be the case if the pseudometric is well-defined (which, I gather, is simply assumed by the author). The reasoning goes like this: for each $(y,z)\in\mathcal{D}(d)=(X/\!\sim)\times(X/\!\sim),$ there exists $a,b\in X$ such that $y=[a]$ and $z=.$ Then $d(y,z)=d([a],)=p(a,b),$ by definition. Since $p$ is well-defined, there must be a unique $r\in\mathbb{R}^{+}\cup\{0\}$ such that $p(a,b)=r.$ Done.

To answer your second question: the author needs to show that $d$ is a regular metric. One condition of that is what we've mentioned above: equality in $X/\!\sim$ happens if and only if the metric $d$ is zero. The direction $q(a)=q(b)\;\implies\; d(q(a),q(b))=0$ is fairly straight-forward. We have this: $q(a)=q(b)$ implies $[a]=$ implies $a\sim b$ implies $0=p(a,b)=d(q(a),q(b)).$ The other direction, which is the only one the author wrote up, can be fleshed out just a tad more like this: $d(q(a),q(b))=0$ implies $p(a,b)=0$ because $d(q(a),q(b)):=p(a,b)$ - a definition. But we remember that $p(a,b)=0$ implies, by definition of $\sim,$ that $a\sim b$. But then $[a]=,$ and hence $q(a)=q(b).$ Therefore,
$$d(q(a),q(b))=0\;\iff\;q(a)=q(b),$$
a necessary condition for $d$ to be a regular metric.

Does this answer your question?
 
Ackbach said:
The big idea here is that there is a strong connection between so-called pseudometrics and regular ol' metrics. What does that look like? Well, the pseudometric retains every property of the regular metric except for the if-and-only-if in this statement:
$$d(x,y)=0\; \iff \; x=y.$$
Instead, we relax it to only one direction:
$$x=y\;\implies\; p(x,y)=0.$$
However, we can define an equivalence relation $\sim$ based on when $p(x,y)=0.$ So we define an equivalence relation thus: $p(x,y)=0$ if and only if $x\sim y$. You can convince yourself that this is an equivalence relation. This is our substitute for the other direction in the if-and-only-if above. What can we do with this? We can look at the quotient space $X/\!\sim$. Eventually, what we'll see is that we can define a regular metric on $X/\!\sim$ that corresponds to the pseudometric on $X.$

What is $q?$ It's a mapping from $X$ to $X/\!\sim$. What does it look like? Well, it maps an element $x\in X$ to its equivalence relation in $X/\!\sim$ thus: $q(x)=[x],$ where the notation $[x]$ means "the equivalence relation containing $x$". (Recall that an equivalence relation on $X$ partitions $X$ into mutually exclusive sets whose union is $X.$ So when we write $[x],$ we mean one of those partition sets - the one that happens to contain $x$.)

Question: is $q$ onto? Does everything in $X/\!\sim$ come from something in $X$ via $q?$ Well, the answer is yes; suppose we take an arbitrary element in $X/\!\sim,$ call it $z.$ Well, $z$ must equal $$ for some $u\in X,$ and hence $q(u)==z,$ making $q$ onto. This is a detail omitted from the proof, but it helps to understand why the author can define $d(q(a), q(b))=p(a,b).$ Why can he write the definition using $q?$ Answer: because $q$ is onto.

Now to answer your first question: concerning the definition of $d,$ why is it well-defined? Answer: a well-defined function is one in which for each $(y,z)\in\mathcal{D}(d)=(X/\!\sim)\times(X/\!\sim),$ there exists a unique $r\in\mathbb{R}^{+}\cup\{0\}$ such that $d(y,z)=r.$ But this must be the case if the pseudometric is well-defined (which, I gather, is simply assumed by the author). The reasoning goes like this: for each $(y,z)\in\mathcal{D}(d)=(X/\!\sim)\times(X/\!\sim),$ there exists $a,b\in X$ such that $y=[a]$ and $z=.$ Then $d(y,z)=d([a],)=p(a,b),$ by definition. Since $p$ is well-defined, there must be a unique $r\in\mathbb{R}^{+}\cup\{0\}$ such that $p(a,b)=r.$ Done.

To answer your second question: the author needs to show that $d$ is a regular metric. One condition of that is what we've mentioned above: equality in $X/\!\sim$ happens if and only if the metric $d$ is zero. The direction $q(a)=q(b)\;\implies\; d(q(a),q(b))=0$ is fairly straight-forward. We have this: $q(a)=q(b)$ implies $[a]=$ implies $a\sim b$ implies $0=p(a,b)=d(q(a),q(b)).$ The other direction, which is the only one the author wrote up, can be fleshed out just a tad more like this: $d(q(a),q(b))=0$ implies $p(a,b)=0$ because $d(q(a),q(b)):=p(a,b)$ - a definition. But we remember that $p(a,b)=0$ implies, by definition of $\sim,$ that $a\sim b$. But then $[a]=,$ and hence $q(a)=q(b).$ Therefore,
$$d(q(a),q(b))=0\;\iff\;q(a)=q(b),$$
a necessary condition for $d$ to be a regular metric.

Does this answer your question?

Well ... ! ... thank you so much for such a helpful reply ...

Working through all you have written and reflecting ...

Thanks again!

Peter

- - - Updated - - -

Peter said:
Well ... ! ... thank you so much for such a helpful reply ...

Working through all you have written and reflecting ...

Thanks again!

Peter
Thanks again Ackbach ...

That very clearly answer my questions ... !

Your first two paragraphs on the point and strategy of the proposition were particularly helpful ...

Peter
 
Last edited:
You're very welcome, Peter! My pleasure! Glad I could be of help.
 
Ackbach said:
Now to answer your first question: concerning the definition of $d,$ why is it well-defined? Answer: a well-defined function is one in which for each $(y,z)\in\mathcal{D}(d)=(X/\!\sim)\times(X/\!\sim),$ there exists a unique $r\in\mathbb{R}^{+}\cup\{0\}$ such that $d(y,z)=r.$
Yes, but "well-defined" is superfluous here: any function from $(X/{\sim})\times(X/{\sim})$ to $\mathbb{R}^{\ge0}$ must behave this way. The words "well-defined" simply stress that $d$ is a regular function and not some multi-valued one.

Ackbach said:
But this must be the case if the pseudometric is well-defined (which, I gather, is simply assumed by the author).
Of course, since the author starts with "We will occasionally need to consider functions $p$ for which…". So $p$ is a (well-defined) function.

Ackbach said:
The reasoning goes like this: for each $(y,z)\in\mathcal{D}(d)=(X/\!\sim)\times(X/\!\sim)$, there exists $a,b\in X$ such that $y=[a]$ and $ z = [ b ] $. Then $$d(y,z)=d([a],)=p(a,b)$$, by definition. Since $$p$$ is well-defined, there must be a unique $$r\in\mathbb{R}^{+}\cup\{0\}$$ such that $$p(a,b)=r$$.
No, this only shows that for this choice of representatives $a$, $b$ of equivalence classes $y$, $z$ there exists a unique result returned by the definition of $d$. This is obvious. What needs to be shown is that the value of $d$ does not depend on the choice of representatives, namely, that $a\sim a'$ and $b\sim b'$ imply $d([a],)=d([a'],[b'])$.

I'll add my explanation from a different forum of what it means to be well-defined.

Ultimately, "well-defined" means, well, that the definition makes mathematical sense. For each object involved in a well-formed definition, it must be clear how this object is constructed or why it exists.

The need to prove that something is well-defined most often arises when the definition refers to one object of a whole set without saying how this object is chosen. In this case, it is possible that the concept in question is over-defined and, if another object is chosen from the set, the defined concept would be different or a contradiction would arise.

Consider, for example, a set A, an equivalence relation R on A and a function f : A -> A that respects R, i.e., for all x, y in A, x R y implies f(x) R f(y). (Such equivalence relation is called a congruence.) Then one can consider the quotient set A / R, consisting of equivalence classes. Each class has the form [a] for some a in A and consists of all b in A such that a R b.

Finally, we can define f : A / R -> A / R as follows: f([a]) = [f(a)]. One has to prove that this is well-defined. Indeed, functions have to map a single argument into a single value. If X is an equivalence class and a, b are in X, then f(X) can be [f(a)] or [f(b)], so one has to show that [f(a)] = [f(b)].
 
Evgeny.Makarov said:
Yes, but "well-defined" is superfluous here: any function from $(X/{\sim})\times(X/{\sim})$ to $\mathbb{R}^{\ge0}$ must behave this way. The words "well-defined" simply stress that $d$ is a regular function and not some multi-valued one.

Of course, since the author starts with "We will occasionally need to consider functions $p$ for which…". So $p$ is a (well-defined) function.

No, this only shows that for this choice of representatives $a$, $b$ of equivalence classes $y$, $z$ there exists a unique result returned by the definition of $d$. This is obvious. What needs to be shown is that the value of $d$ does not depend on the choice of representatives, namely, that $a\sim a'$ and $b\sim b'$ imply $d([a],)=d([a'],[b'])$.

I'll add my explanation from a different forum of what it means to be well-defined.


Thanks for the clarifications Evgeny ...

Peter
 
A sphere as topological manifold can be defined by gluing together the boundary of two disk. Basically one starts assigning each disk the subspace topology from ##\mathbb R^2## and then taking the quotient topology obtained by gluing their boundaries. Starting from the above definition of 2-sphere as topological manifold, shows that it is homeomorphic to the "embedded" sphere understood as subset of ##\mathbb R^3## in the subspace topology.
Back
Top