MHB Rules of Inference for Proving p→(p→q)→(p→q)

  • Thread starter Thread starter Yankel
  • Start date Start date
  • Tags Tags
    Rules
AI Thread Summary
The discussion focuses on proving the logical statement p→(p→q)→(p→q) using a deductive system. The user has filled in most proof stages but is struggling with the last stage, specifically identifying the rule or axiom used. They have provided a table of proof stages, relevant axioms, and previously proved statements. The only inference rule available is modus ponens, and the user believes that the last stage follows from applying modus ponens to earlier stages. Assistance is sought to confirm this reasoning and complete the proof.
Yankel
Messages
390
Reaction score
0
Hello to you all,

I am trying to prove the following:

\[\vdash \left ( p\rightarrow \left ( p\rightarrow q \right ) \right )\rightarrow \left ( p\rightarrow q \right )\]

I was given a table with the proof stages, and I had to fill the blanks. Sometimes the blanks were the rule or axiom used in this stage, and sometimes it was the result of using the rule/axiom. I filled all, but I can't figure out the last stage. More specifically, I can't figure out which rule / axiom was used in the last stage (stage 7). I have completed all other stages, and I think it's correct.

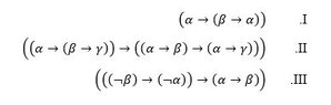
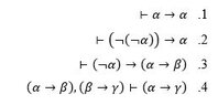
I am attaching as figures, the table of the proof, the 3 axioms I am allowed to use (I am using the L deductive system), and 4 statements which were proved already and can be used. In addition, the only inference rule is the modus ponens.

Thank you in advance for helping me complete the last stage.

View attachment 6043View attachment 6044View attachment 6045
 

Attachments

  • ax1.JPG
    ax1.JPG
    32.9 KB · Views: 154
  • ax2.JPG
    ax2.JPG
    5.6 KB · Views: 117
  • ax3.JPG
    ax3.JPG
    4.4 KB · Views: 126
Physics news on Phys.org
I think 7 follows by MP from 3 and 6.
 
I think you are correct, I didn't see it. Thank you ! (Yes)
 
I was reading a Bachelor thesis on Peano Arithmetic (PA). PA has the following axioms (not including the induction schema): $$\begin{align} & (A1) ~~~~ \forall x \neg (x + 1 = 0) \nonumber \\ & (A2) ~~~~ \forall xy (x + 1 =y + 1 \to x = y) \nonumber \\ & (A3) ~~~~ \forall x (x + 0 = x) \nonumber \\ & (A4) ~~~~ \forall xy (x + (y +1) = (x + y ) + 1) \nonumber \\ & (A5) ~~~~ \forall x (x \cdot 0 = 0) \nonumber \\ & (A6) ~~~~ \forall xy (x \cdot (y + 1) = (x \cdot y) + x) \nonumber...
Back
Top