MHB Sum of Infinite Series: Find 1/sqrt(2)

Umar
Messages
36
Reaction score
0
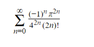
Hey guys! I just have a question regarding finding the sum of an infinite series. Attached is the image of the question. I've tried to use the ratio test but it doesn't give me the result I need which happens to be 1/sqrt(2). I feel like this is one of those power series questions, but I'm not quite sure how to deal with this. If anyone could help out, that would be greatly appreciated!

View attachment 6430
 

Attachments

  • find the sum of the following series.png
    find the sum of the following series.png
    1.5 KB · Views: 132
Physics news on Phys.org
Umar said:
Hey guys! I just have a question regarding finding the sum of an infinite series. Attached is the image of the question. I've tried to use the ratio test but it doesn't give me the result I need which happens to be 1/sqrt(2). I feel like this is one of those power series questions, but I'm not quite sure how to deal with this. If anyone could help out, that would be greatly appreciated!
This is just the power series expansion for $\cos\frac\pi4.$
 
This is \sum_{n=0}^\infty \frac{(-1)^n}{(2n)!}\left(\frac{\pi}{4}\right)^{2n}

Compare that to the power series for cos(x), \sum_{n=0}^\infty \frac{(-1)^n}{(2n)!}x^{2n} to get Opalg's result.
 
Last edited by a moderator:

Similar threads

Replies
7
Views
2K
Replies
5
Views
2K
Replies
4
Views
2K
Replies
3
Views
3K
Replies
7
Views
2K
Replies
6
Views
3K
Replies
3
Views
2K
Back
Top