MHB The Chain Rule in n Dimensions .... Browder Theorem 8.15 - Another Question ....

Math Amateur
Gold Member
MHB
Messages
3,920
Reaction score
48
I am reading Andrew Browder's book: "Mathematical Analysis: An Introduction" ... ...

I am currently reading Chapter 8: Differentiable Maps and am specifically focused on Section 8.2 Differentials ... ...

I need some further help in order to fully understand the proof of Theorem 8.15 ...

Theorem 8.15 and its proof read as follows:
View attachment 9416
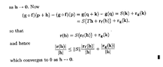
View attachment 9417In the above proof by Browder we read the following:" ... ... Now

$$(g \circ f) (p + h) - (g \circ h) (p) = g(q + k) - g(q)$$ ... ... "

Can someone please show how/why $$(g \circ f) (p + h) - (g \circ h) (p) = g(q + k) - g(q)$$ ... ...

Help will be appreciated ...

Peter
 

Attachments

  • Browder - 1 - Theorem 8.15 ... PART 1 ... ....png
    Browder - 1 - Theorem 8.15 ... PART 1 ... ....png
    16.9 KB · Views: 127
  • Browder - 2 - Theorem 8.15 ... PART 2  ... .....png
    Browder - 2 - Theorem 8.15 ... PART 2 ... .....png
    4.6 KB · Views: 135
Physics news on Phys.org
Peter said:
I am reading Andrew Browder's book: "Mathematical Analysis: An Introduction" ... ...

I am currently reading Chapter 8: Differentiable Maps and am specifically focused on Section 8.2 Differentials ... ...

I need some further help in order to fully understand the proof of Theorem 8.15 ...

Theorem 8.15 and its proof read as follows:

In the above proof by Browder we read the following:" ... ... Now

$$(g \circ f) (p + h) - (g \circ h) (p) = g(q + k) - g(q)$$ ... ... "

Can someone please show how/why $$(g \circ f) (p + h) - (g \circ h) (p) = g(q + k) - g(q)$$ ... ...

Help will be appreciated ...

Peter
It now appears to me that the answer to my question is quite straightforward ...

We have ...$$(g \circ f) (p + h) - (g \circ h) (p) = g(q + k) - g(q)$$

$$= g[ f(p + h) ] - g[f(p)]$$ ...

But ... we have that ...

$$k = f(p+h) - f(p)$$

so that

$$f(p+h) = k + f(p) = q + k$$

Therefore

$$g[ f(p + h) ] - g[f(p)] = g(q + k ) - g(q)$$ ...Don't know why I didn't see it ...

Peter
 
Hi Peter,

I'm also currently working through Chapter 8 of Browder's book and I can help clarify the proof of Theorem 8.15 for you.

First, let's define some notation. We have two maps, f : U \to V and g : V \to W, where U, V, and W are open sets in \mathbb{R}^n. Let p \in U and q = f(p) \in V. We also have a small vector h \in \mathbb{R}^n such that p + h \in U and q + k = f(p + h) \in V.

Now, the goal is to show that (g \circ f) (p + h) - (g \circ f) (p) = g(q + k) - g(q).

Using the definition of composition of maps, we can rewrite (g \circ f) (p + h) as g(f(p + h)) and (g \circ f) (p) as g(f(p)). Substituting our definitions of q and k, we get g(q + k) and g(q).

Next, we can use the definition of the differential of a map to rewrite g(f(p + h)) - g(f(p)) as Dg(q + k) \cdot Df(p + h) - Dg(q) \cdot Df(p).

Now, using the chain rule for differentiable maps, we can rewrite Dg(q + k) \cdot Df(p + h) as D(g \circ f) (p + h) and Dg(q) \cdot Df(p) as D(g \circ f) (p).

Therefore, we have shown that (g \circ f) (p + h) - (g \circ f) (p) = D(g \circ f) (p + h) - D(g \circ f) (p).

Finally, using the definition of the differential of a map again, we can rewrite D(g \circ f) (p + h) - D(g \circ f) (p) as D(g \circ f) (p + h - p).

Since h is a small vector, p + h - p is also a small vector and thus we can use the definition of the differential once more to rewrite D(g \circ f) (p
 
I posted this question on math-stackexchange but apparently I asked something stupid and I was downvoted. I still don't have an answer to my question so I hope someone in here can help me or at least explain me why I am asking something stupid. I started studying Complex Analysis and came upon the following theorem which is a direct consequence of the Cauchy-Goursat theorem: Let ##f:D\to\mathbb{C}## be an anlytic function over a simply connected region ##D##. If ##a## and ##z## are part of...
Back
Top