MHB The Riemann Integral .... Conway, Proposition 3.1.4 ....

  • Thread starter Thread starter Math Amateur
  • Start date Start date
  • Tags Tags
    Integral Riemann
Math Amateur
Gold Member
MHB
Messages
3,920
Reaction score
48
I am reading John B. Conway's book: A First Course in Analysis and am focused on Chapter 3: Integration ... and in particular I am focused on Section 3.1: The Riemann Integral ...

I need help with an aspect of the proof of Proposition 3.1.4 ...Proposition 3.1.4 and its proof read as follows:
View attachment 9456
View attachment 9457
In the above proof by John Conway we read the following:

" ... ... Since $$\epsilon$$ was arbitrary we have that there can be only one number between L(f, Q) and U(f, Q) for every such refinement. ... ... "My question is as follows:

Can someone please explain what Conway means by saying that there can be only one number between $$L(f, Q)$$ and $$U(f, Q)$$ for every such refinement and, further explain why this is true ... and then, further yet, why exactly this number is $$\int_a^b f $$ ... Help will be appreciated ...

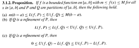
Peter==========================================================================================The above proof refers to Proposition 3.1.2 so I am making available the statement of the proposition ... as follows:View attachment 9458It may help MHB readers to have access to the start of Section 3.1 preliminary to Proposition 3.1.4 ... so I am providing the same ... as follows:View attachment 9459
View attachment 9460
View attachment 9461
Hope that helps ...

Peter
 

Attachments

  • Conway - 1 - Proposition 3.1.4  - PART 1  ... .png
    Conway - 1 - Proposition 3.1.4 - PART 1 ... .png
    8.5 KB · Views: 125
  • Conway - 2 - Proposition 3.1.4  - PART 2 ... .png
    Conway - 2 - Proposition 3.1.4 - PART 2 ... .png
    26.9 KB · Views: 147
  • Conway - Proposition 3.1.2 ... .png
    Conway - Proposition 3.1.2 ... .png
    10.3 KB · Views: 131
  • Conway - 1 - Start of Section 3.1 ... Part 1 .png
    Conway - 1 - Start of Section 3.1 ... Part 1 .png
    31.5 KB · Views: 136
  • Conway - 2 - Start of Section 3.1 ... Part 2 ... .png
    Conway - 2 - Start of Section 3.1 ... Part 2 ... .png
    60.1 KB · Views: 140
  • Conway - 3 - Start of Section 3.1 ... Part 3 ... .png
    Conway - 3 - Start of Section 3.1 ... Part 3 ... .png
    42.1 KB · Views: 144
Last edited:
Physics news on Phys.org
That's a lot to digest in one sitting but here is your basic question:

Peter said:
Can someone please explain what Conway means by saying that there can be only one number between $$L(f, Q)$$ and $$U(f, Q)$$ for every such refinement and, further explain why this is true ... and then, further yet, why exactly this number is $$\int_a^b f $$ ...
The wording is a little ambiguous. I can see how it could be interpreted as "for each refinement" and perhaps that is how you are reading it. But he intends to say that there is a unique number that works for every refinement. Suppose there were two such numbers, p and q. Then then take a refinement such that \epsilon< |p- q|. Those two numbers cannot both be in that refinement so cannot be in every refinement.

As for "why exactly this number is \int_a^b f". He is defining \int_a^b f to be that number!
 
HallsofIvy said:
That's a lot to digest in one sitting but here is your basic question:


The wording is a little ambiguous. I can see how it could be interpreted as "for each refinement" and perhaps that is how you are reading it. But he intends to say that there is a unique number that works for every refinement. Suppose there were two such numbers, p and q. Then then take a refinement such that \epsilon< |p- q|. Those two numbers cannot both be in that refinement so cannot be in every refinement.

As for "why exactly this number is \int_a^b f". He is defining \int_a^b f to be that number!

Thanks HallsofIvy ...

Still reflecting on what you have said ...

Thanks again ...

Peter
 
A sphere as topological manifold can be defined by gluing together the boundary of two disk. Basically one starts assigning each disk the subspace topology from ##\mathbb R^2## and then taking the quotient topology obtained by gluing their boundaries. Starting from the above definition of 2-sphere as topological manifold, shows that it is homeomorphic to the "embedded" sphere understood as subset of ##\mathbb R^3## in the subspace topology.
Back
Top