I Time derivative using the quotient rule

AI Thread Summary
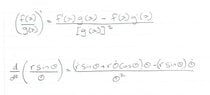
The discussion focuses on verifying the application of the quotient rule for taking the time derivative of a function involving time-dependent variables "r" and "theta." The original poster is seeking confirmation on their mathematical approach while working on a numerical mechanics problem. Responses indicate that the use of the quotient rule appears to be correct. The poster is encouraged to double-check their calculations to resolve discrepancies in their results. Overall, the thread emphasizes the importance of careful mathematical verification in problem-solving.
Mishal0488
Messages
20
Reaction score
1
Hi Guys

Sorry for the rudimentary post. I am busy with a numerical solution to a mechanics problem, and the results are just not as expected. I am re-checking the mathematics to ensure that all is in order in doing so I am second guessing a few things

Referring to the attached scan, is the quotient rule used correctly when taking the time derivative of the function? Note that both "r" and "theta" are time dependent.

Thanks in advance
 

Attachments

  • Capture.JPG
    Capture.JPG
    10.4 KB · Views: 136
Physics news on Phys.org
Looks right.
 
Thread 'Is 'Velocity of Transport' a Recognized Term in English Mechanics Literature?'
Here are two fragments from Banach's monograph in Mechanics I have never seen the term <<velocity of transport>> in English texts. Actually I have never seen this term being named somehow in English. This term has a name in Russian books. I looked through the original Banach's text in Polish and there is a Polish name for this term. It is a little bit surprising that the Polish name differs from the Russian one and also differs from this English translation. My question is: Is there...
Hi there, im studying nanoscience at the university in Basel. Today I looked at the topic of intertial and non-inertial reference frames and the existence of fictitious forces. I understand that you call forces real in physics if they appear in interplay. Meaning that a force is real when there is the "actio" partner to the "reactio" partner. If this condition is not satisfied the force is not real. I also understand that if you specifically look at non-inertial reference frames you can...
Back
Top