MHB Triple Integral: $\dfrac{\sqrt{1-x^2}}{2(1+y)}$

Click For Summary
The discussion revolves around evaluating the triple integral $\int_0^1\int_{0}^{1}\int_{0}^{\sqrt{1-x^2}}\dfrac{z}{y+1} \,dxdzdy$. There is a correction regarding the limits of integration, where the upper limit should be $\sqrt{1-z^2}$ instead of $\sqrt{1-x^2}$. The integrand does not contain x, which simplifies the evaluation process. The participants are encouraged to proceed step by step, with suggestions to use trigonometric substitution for further simplification. The conversation emphasizes careful attention to detail in the integration process.
karush
Gold Member
MHB
Messages
3,240
Reaction score
5
View attachment 9379
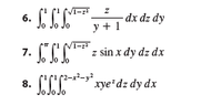
ok this is a snip from stewards v8 15.6 ex
hopefully to do all 3 here

$\displaystyle\int_0^1\int_{0}^{1}\int_{0}^{\sqrt{1-x^2}}\dfrac{z}{y+1} \,dxdzdy$
so going from the center out but there is no x in the integrand

$\displaystyle\int_0^{\sqrt{1 - x^2}} \dfrac{z}{y + 1}dx =\dfrac{ \sqrt{1 - x^2} z}{y + 1}$
and

$\displaystyle\int_0^1 \dfrac{ \sqrt{1 - x^2} z}{y + 1} \, dz=\frac{\sqrt{1-x^2}}{2\left(1+y\right)} $

kinda maybe so far?
 

Attachments

  • Capture.PNG
    Capture.PNG
    1.9 KB · Views: 120
Last edited:
Physics news on Phys.org
karush said:
ok this is a snip from stewards v8 15.6 ex
hopefully to all 3 here

$\displaystyle\int_0^1\int_{0}^{1}\int_{0}^{\sqrt{1-x^2}}\dfrac{z}{y+1} \,dxdzdy$
so going from the center out but there is no x in the integrand

$\displaystyle\int_0^{\sqrt{1 - x^2}} \dfrac{z}{y + 1}dx =\dfrac{ \sqrt{1 - x^2} z}{y + 1}$
and

$\displaystyle\int_0^1 \dfrac{ \sqrt{1 - x^2} z}{y + 1} \, dz=\frac{\sqrt{1-x^2}}{2\left(1+y\right)} $

kinda maybe so far?
You've got it! Keep going...

-Dan

Addendum: Actually, no. You've got a typo. That first (inside) integral has an upper limit of [math]\sqrt{1 - z^2}[/math], not [math]\sqrt{1 - x^2}[/math]. But you've got the idea down.
 
$\displaystyle\int_0^1\int_{0}^{1}\int_{0}^{\sqrt{1-z^2}}\dfrac{z}{y+1} \,dxdzdy$
so going from the center out but there is no x in the integrand

$\displaystyle\int_0^{\sqrt{1 -z^2}} \dfrac{z}{y + 1}dx =\dfrac{ \sqrt{1 - z^2} z}{y + 1}$
and

$\displaystyle\int_0^1 \dfrac{ \sqrt{1 - z^2} z}{y + 1} \, dz=\frac{\sqrt{1-x^2}}{2\left(1+y\right)} $wait I think I ? on this z thing...
 
karush said:
$\displaystyle\int_0^1\int_{0}^{1}\int_{0}^{\sqrt{1-z^2}}\dfrac{z}{y+1} \,dxdzdy$
so going from the center out but there is no x in the integrand

$\displaystyle\int_0^{\sqrt{1 -z^2}} \dfrac{z}{y + 1}dx =\dfrac{ \sqrt{1 - z^2} z}{y + 1}$
and

$\displaystyle\int_0^1 \dfrac{ \sqrt{1 - z^2} z}{y + 1} \, dz=\frac{\sqrt{1-x^2}}{2\left(1+y\right)} $wait I think I ? on this z thing...
Take it step by step. You've got this.
[math]\int_0^1 \dfrac{z \sqrt{1 - z^2}}{y + 1} dz = \dfrac{1}{y + 1} \int_0^1 z \sqrt{1 - z^2} ~ dz[/math]

Now do a trig substitution...

-Dan
 

Similar threads

  • · Replies 3 ·
Replies
3
Views
2K
  • · Replies 1 ·
Replies
1
Views
2K
  • · Replies 2 ·
Replies
2
Views
2K
  • · Replies 6 ·
Replies
6
Views
3K
  • · Replies 3 ·
Replies
3
Views
3K
  • · Replies 10 ·
Replies
10
Views
3K
  • · Replies 4 ·
Replies
4
Views
2K
  • · Replies 2 ·
Replies
2
Views
3K
  • · Replies 3 ·
Replies
3
Views
1K
  • · Replies 3 ·
Replies
3
Views
1K