Use Graph To Investigate Limit

  • Thread starter Thread starter nycmathguy
  • Start date Start date
  • Tags Tags
    Graph Limit
nycmathguy
Homework Statement
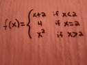
Use the graph of f(x) to investigate limit.
Relevant Equations
Piecewise Function
Use a graph to investigate limit of f(x) as
x→c at the number c.

Note: c is given to be 2. This number comes from the side conditions of the piecewise function.

See attachments.

lim (x + 2) as x tends to c from the left is 2.

lim x^2 as x tends to c from the right is 4.

LHL does not equal RHL.

Thus, the limit does not exist.

Note: If my graph is wrong, can someone please graph f(x)? I will then try again.

Thanks
 

Attachments

  • 20210616_091750.jpg
    20210616_091750.jpg
    27.4 KB · Views: 167
  • 20210616_093416.jpg
    20210616_093416.jpg
    34 KB · Views: 158
Physics news on Phys.org
nycmathguy said:
Homework Statement:: Use the graph of f(x) to investigate limit.
Relevant Equations:: Piecewise Function

Use a graph to investigate limit of f(x) as
x→c at the number c.

Note: c is given to be 2. This number comes from the side conditions of the piecewise function.

See attachments.

lim (x + 2) as x tends to c from the left is 2.
No.
$$\lim_{x \to 2^-}x+ 2 = 4$$
nycmathguy said:
lim x^2 as x tends to c from the right is 4.
Yes.
nycmathguy said:
LHL does not equal RHL.
Thus, the limit does not exist.
Try again.
nycmathguy said:
Note: If my graph is wrong, can someone please graph f(x)? I will then try again.
Your graph is incorrect for several reasons. The linear part (y = x + 2) runs from the left up to, but not including, the point (2, 4). The quadratic part (y = x^2) runs to the right from, but not including, the point (2, 4). The point (2, 4) would be on both the line and the parabola.
 
  • Like
Likes nycmathguy
Mark44 said:
No.
$$\lim_{x \to 2^-}x+ 2 = 4$$
Yes.
Try again.
Your graph is incorrect for several reasons. The linear part (y = x + 2) runs from the left up to, but not including, the point (2, 4). The quadratic part (y = x^2) runs to the right from, but not including, the point (2, 4). The point (2, 4) would be on both the line and the parabola.

I see my little typo. The limit does exist and it is 4.
 
nycmathguy said:
I see my little typo. The limit does exist and it is 4.
Right. Are you clear on what the graph looks like? The graph you showed was off by quite a lot.
 
Mark44 said:
No.
$$\lim_{x \to 2^-}x+ 2 = 4$$
Yes.
Try again.
Your graph is incorrect for several reasons. The linear part (y = x + 2) runs from the left up to, but not including, the point (2, 4). The quadratic part (y = x^2) runs to the right from, but not including, the point (2, 4). The point (2, 4) would be on both the line and the parabola.
Can you please graph this function and post a picture here for me to see?
 
nycmathguy said:
Can you please graph this function and post a picture here for me to see?
Just follow my description that you quoted.
 
Mark44 said:
Just follow my description that you quoted.

Can you recommend a good online free app or site for graphing functions? I don't understand how to use Desmos.
 
I use wolframalpha.com, but questions like this one you shouldn't need any graphing software. A large part of precalc is aimed at getting you familiar with simple functions like the linear one in the problem, as well as parabolas and a few other functions.

If you use graph paper, you can get a reasonable graph. Without graph paper, you can do OK if you're careful with your tick marks. For this problem, the linear part of the function goes through (-2, 0), (0, 2) and up to, but not quite to (2, 4). The quadratic part starts off just to the right of the point (2, 4) and goes through (3, 9), (4, 16), and so on.
 

Similar threads

Back
Top