What Are the Differences Between Black Body Radiation Formulas?

  • Thread starter Thread starter sss1
  • Start date Start date
AI Thread Summary
The discussion centers on the confusion surrounding various black body radiation formulas, particularly the differences between spectral radiance expressed in terms of wavelength and frequency. Participants clarify that integrating these formulas yields the total intensity or area under the black body radiation curve. The presence of delta lambda in the formula for radiated power is explained as necessary for calculating power over a specific wavelength range. It is noted that spectral radiance can yield different results when calculated using frequency versus wavelength due to the relationship between the two variables. Understanding these distinctions is essential for applying Stefan-Boltzmann's law correctly.
sss1
Messages
50
Reaction score
2
Homework Statement
Below
Relevant Equations
In the pictures
Im getting confused between the differences of all of these formulas.
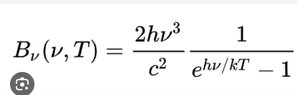
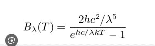
I googled spectral radiance black body and all of the first four pictures came up. They represent the intensity of radiation at a particular wavelength right, or the y-axis of the black body radiation curve? So if I integrate this formula I should get the total intensity? Or the total area under the black body radiation curve? One of the pictures has frequency as the variable instead of wavelength tho? Is it finding the same thing but for when I'm given frequency instead of wavelength? And somehow the rest of the three pictures all have different numerators...?
And the last formula, which finds the radiated power for a specific wavelength, why does it have a delta lambda in it? Kinda confused on where it comes about. I understand that spectral radiancy has units Watts/m^3, so it makes sense to have A and delta lambda, because that has units m^3. But why not have lambda instead of delta lambda? And also if i integrated that formula it will give me Stefan Boltzmann's law? The total power radiated?
 

Attachments

  • IMG_0764.jpg
    IMG_0764.jpg
    11.1 KB · Views: 105
  • IMG_0765.jpg
    IMG_0765.jpg
    9.6 KB · Views: 109
  • IMG_0763.jpg
    IMG_0763.jpg
    5.9 KB · Views: 97
  • IMG_0762.jpg
    IMG_0762.jpg
    12.6 KB · Views: 133
  • Screen Shot 2023-11-02 at 20.16.08.png
    Screen Shot 2023-11-02 at 20.16.08.png
    7 KB · Views: 97
Last edited:
Physics news on Phys.org
sss1 said:
Homework Statement: Below
Relevant Equations: In the pictures

Im getting confused between the differences of all of these formulas.
I googled spectral radiance black body and all of the first four pictures came up. They represent the intensity of radiation at a particular wavelength right, or the y-axis of the black body radiation curve? So if I integrate this formula I should get the total intensity? Or the total area under the black body radiation curve? One of the pictures has frequency as the variable instead of wavelength tho? Is it finding the same thing but for when I'm given frequency instead of wavelength? And somehow the rest of the three pictures all have different numerators...?
And the last formula, which finds the radiated power for a specific wavelength, why does it have a delta lambda in it? Kinda confused on where it comes about. I understand that spectral radiancy has units Watts/m^3, so it makes sense to have A and delta lambda, because that has units m^3. But why not have lambda instead of delta lambda? And also if i integrated that formula it will give me Stefan Boltzmann's law? The total power radiated?

View attachment 334681

View attachment 334682

View attachment 334683

View attachment 334684

View attachment 334685
Unfortunately, the way you have posted those images they cannot be clicked to reveal the whole text. If you cannot figure out how to do it, post the links.
 
haruspex said:
Unfortunately, the way you have posted those images they cannot be clicked to reveal the whole text. If you cannot figure out how to do it, post the links.
Does it work now?
 
haruspex said:
I had a look at the table and tried calculating the spectral radiancy using both frequency and wavelength, but got different answers?
I used these two formulas.
The wavelength I used was 966e-9m, and so the frequency should be (3e8)/(966e-9) Hz?
 

Attachments

  • Screen Shot 2023-11-03 at 12.37.20.png
    Screen Shot 2023-11-03 at 12.37.20.png
    8.3 KB · Views: 83
sss1 said:
I had a look at the table and tried calculating the spectral radiancy using both frequency and wavelength, but got different answers?
I used these two formulas.
The wavelength I used was 966e-9m, and so the frequency should be (3e8)/(966e-9) Hz?
##B_\nu## is the spectral emissive power per unit area, per unit solid angle and per unit frequency. ##B_\lambda## is per unit wavelength.
I.e. ##B_\nu d\nu## is the total spectral emissive power per unit area, per unit solid angle for the frequency range ##(\nu,\nu+d\nu)##, etc.
Hence ##B_\nu =B_\lambda|\frac{d\lambda}{d\nu}|=B_\lambda\frac{c}{\nu^2}##.
If you make that substitution, and ##\nu=\frac c{\lambda}##, you should see one equation turn into the other.
 
Last edited:
Kindly see the attached pdf. My attempt to solve it, is in it. I'm wondering if my solution is right. My idea is this: At any point of time, the ball may be assumed to be at an incline which is at an angle of θ(kindly see both the pics in the pdf file). The value of θ will continuously change and so will the value of friction. I'm not able to figure out, why my solution is wrong, if it is wrong .
TL;DR Summary: I came across this question from a Sri Lankan A-level textbook. Question - An ice cube with a length of 10 cm is immersed in water at 0 °C. An observer observes the ice cube from the water, and it seems to be 7.75 cm long. If the refractive index of water is 4/3, find the height of the ice cube immersed in the water. I could not understand how the apparent height of the ice cube in the water depends on the height of the ice cube immersed in the water. Does anyone have an...
Thread 'A bead-mass oscillatory system problem'
I can't figure out how to find the velocity of the particle at 37 degrees. Basically the bead moves with velocity towards right let's call it v1. The particle moves with some velocity v2. In frame of the bead, the particle is performing circular motion. So v of particle wrt bead would be perpendicular to the string. But how would I find the velocity of particle in ground frame? I tried using vectors to figure it out and the angle is coming out to be extremely long. One equation is by work...
Back
Top