MHB What is the correct way to convert to polar form?

Click For Summary
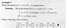
The discussion revolves around the correct method for converting complex numbers to polar form. The user initially miscalculates the magnitude of 1 + i, incorrectly stating it as 0 instead of the correct value, √2. They also attempt to convert √3 - i to polar form, calculating its magnitude as 2 but struggle with determining the correct angle θ. The user expresses confusion about the sine and cosine values used in their calculations, particularly regarding the range of the arcsin function. The thread highlights common pitfalls in converting complex numbers to polar form and emphasizes the importance of accurately calculating magnitudes and angles.
nacho-man
Messages
166
Reaction score
0
I started of with attempting to convert the numerator first

$ | 1 + i | = \sqrt{1^2+i^2}$
$= \sqrt{1-1} = 0$ ? this is wrong obviously, i don't see why its $\sqrt{2}$

for the second part

$ |\sqrt{3} - i|= \sqrt{3+1} = 2$

$ x = r \cos\theta$ $ y = r\sin\theta$

$x = 2\cos\theta$ $ y=2\sin\theta$

then $\theta = \frac{\pi}{3} and \frac{\pi}{6}$

$ = 2(\cos\frac{\pi}{3} + \sin\frac{\pi}{6} = 2cis(\frac{\pi}{3})$ I don't see why this is wrong either
 

Attachments

  • converting to polar.jpg
    converting to polar.jpg
    16.3 KB · Views: 123
Physics news on Phys.org
The magnitude of a complex number $a+bi$ is given by $|a+bi|= \sqrt{(a+bi)(a-bi)}$. That is, you multiply a number by its complex conjugate, and then you take the square root.
 
$$1+i = \sqrt{2} \left( \frac{1}{\sqrt{2}}+i \frac{1}{\sqrt{2}}\right) = \sqrt{2} \, \text{cis} \left( \frac{\pi}{4} \right)$$

$$\sqrt{3}-i = 2 \left(\frac{\sqrt{3}}{2}- i \frac{1}{2} \right) = 2 \text{cis}\left( \frac{-\pi}{6}\right)$$
 
$\cos\theta = \frac{1}{\sqrt{2}}$
Therefore
$ \theta = \frac{\pi}{4}$
and $\sin\theta=\frac{-1}{\sqrt{2}}$
therefore
$\theta = \frac{\pi}{4} + \pi = \frac{5\pi}{4}$
What have i done wrong for the $\sin\theta$ part?
 
The range of \displaystyle \begin{align*} y = \arcsin{(x)} \end{align*} is \displaystyle \begin{align*} \left[ -\frac{\pi}{2} , \frac{\pi}{2} \right] \end{align*}.
 
We all know the definition of n-dimensional topological manifold uses open sets and homeomorphisms onto the image as open set in ##\mathbb R^n##. It should be possible to reformulate the definition of n-dimensional topological manifold using closed sets on the manifold's topology and on ##\mathbb R^n## ? I'm positive for this. Perhaps the definition of smooth manifold would be problematic, though.

Similar threads

  • · Replies 15 ·
Replies
15
Views
3K
  • · Replies 2 ·
Replies
2
Views
2K
  • · Replies 4 ·
Replies
4
Views
2K
  • · Replies 6 ·
Replies
6
Views
2K
  • · Replies 14 ·
Replies
14
Views
2K
  • · Replies 7 ·
Replies
7
Views
2K
  • · Replies 19 ·
Replies
19
Views
2K
  • · Replies 4 ·
Replies
4
Views
3K
  • · Replies 16 ·
Replies
16
Views
2K
  • · Replies 4 ·
Replies
4
Views
1K