When to use the Jacobian in spherical coordinates?

Amaelle
Messages
309
Reaction score
54
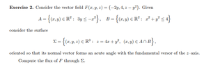
Homework Statement
look at the image
Relevant Equations
jacobian is r^2 sinv
Greetings!
1639498591229.png


here is the solution which I undertand very well:
1639498692794.png

1639498769703.png


my question is:
if we go the spherical coordinates shouldn't we use the jacobian r^2*sinv?

thank you!
 

Attachments

  • 1639410956821.png
    1639410956821.png
    10.7 KB · Views: 193
  • 1639411043905.png
    1639411043905.png
    8.3 KB · Views: 168
Physics news on Phys.org
It's sort of already baked in. The surface element comes from a little parallelogram with sides ##d\boldsymbol{l}_u = \frac{\partial \boldsymbol{\sigma}}{\partial u} du## and ##d\boldsymbol{l}_v = \frac{\partial \boldsymbol{\sigma}}{\partial v} dv## and therefore area
\begin{align*}
dS = |d\boldsymbol{l}_u \times d\boldsymbol{l}_v| = \left| \frac{\partial \boldsymbol{\sigma}}{\partial u} \times \frac{\partial \boldsymbol{\sigma}}{\partial v} \right| du dv
\end{align*}The part ##\frac{\partial \boldsymbol{\sigma}}{\partial u} \times \frac{\partial \boldsymbol{\sigma}}{\partial v}## is what your solutions denoted by the vector ##\mathbf{N}##.
 
Last edited:
thank you so much!
 
Back
Top