Why Does Taylor's Theorem Use +O(ε) Instead of -O(ε)?

gionole
Messages
281
Reaction score
24
Homework Statement
Help me with taylor's theorem
Relevant Equations
Help me with taylor's theorem
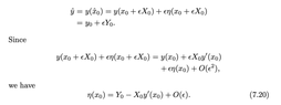
I am trying to grasp how the last equation is derived. I understand everything, but the only thing problematic is why in the end, it's ##+O(\epsilon)## and not ##-O(\epsilon)##. It will be easier to directly attach the image, so please, see image attached.
 

Attachments

  • Screenshot 2023-12-27 at 1.32.29 PM.png
    Screenshot 2023-12-27 at 1.32.29 PM.png
    8.6 KB · Views: 88
Physics news on Phys.org
I am not accustomed the way of the text. What is the text you use ?
 
O-notation tells you about the magnitude of the error in some limit, in this case \epsilon \to 0; the sign of the error can depend on \epsilon, so it is conventional to use a plus sign.
 
The expression, ##f=g+O(\epsilon)## means that there exists such positive number ##M## that ##|f-g| \leq M|\epsilon|##.
OTOH, ##f=g-O(\epsilon)## means ##g=f+O(\epsilon)##, which means that there exists such positive number ##M## that ##|g-f| \leq M|\epsilon|##. This is the same as above. So, one can always use ##+O(\epsilon)##.
 
  • Like
  • Love
Likes WWGD and gionole
Thread 'Use greedy vertex coloring algorithm to prove the upper bound of χ'
Hi! I am struggling with the exercise I mentioned under "Homework statement". The exercise is about a specific "greedy vertex coloring algorithm". One definition (which matches what my book uses) can be found here: https://people.cs.uchicago.edu/~laci/HANDOUTS/greedycoloring.pdf Here is also a screenshot of the relevant parts of the linked PDF, i.e. the def. of the algorithm: Sadly I don't have much to show as far as a solution attempt goes, as I am stuck on how to proceed. I thought...
Back
Top