MHB Arc Length and Rotation, Please Explain this problem

stripedcat
Messages
44
Reaction score
0
EDIT: Okay now that the admin has cleaned up my mess, please scroll down to see the correct image and the question on the 3rd post in this thread.
 
Last edited:
Physics news on Phys.org
I suspect you've attached the wrong image...:D
 
MarkFL said:
I suspect you've attached the wrong image...:D

Indeed.

Here it is.

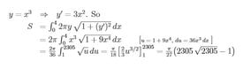
Can somebody explain how to get the new terms of integration? I understand the rest of it. I know where everything else came from, I don't know how they altered the terms of integration to 1 to 2305

View attachment 2811

And if anyone can delete that image above that would be helpful.

EDIT: and even at that, 4^3 * 36 = 2304, so plus 1... 1 to 2305, but why?
 

Attachments

  • MATH what now2.jpg
    MATH what now2.jpg
    10.1 KB · Views: 95
Whenever you make a substitution in a definite integral, everything that is in terms of the old variable must be changed in accordance with the substitution to be in terms of the new variable. This includes the integrand, the differential, and the limits.

Now, the substitution used is:

$$u(x)=1+9x^4$$

and so we compute:

$$u(0)=1+9(0)^4=1$$

$$u(4)=1+9(4)^4=2305$$

So, these are our new limits.
 
Sort of amusing coinsidence then that 4^3 * 36 is 1 shy of what I was looking for... Heh.

But thank you!
 

Similar threads

Back
Top