Bevington and uncertainty of a weighted mean

  • Thread starter Thread starter pkennedy
  • Start date Start date
  • Tags Tags
    Mean Uncertainty
AI Thread Summary
The discussion centers on the calculation of the weighted mean and its associated variance using different equations from Bevington's work. The first equation (4.19) provides the exact variance of the weighted mean when variances are known, while the second equation (4.22 into 4.23) estimates the variance when variances are not known. The key difference lies in the fact that the first can be calculated a priori with known information, whereas the second requires actual data for computation. Additionally, there is a debate on whether to use N or N-1 in variance calculations to correct for bias. The choice of which equation to use depends on the context of known versus estimated variances.
pkennedy
Messages
4
Reaction score
0
I'm trying to decide on a method for calculating a weighted mean for my data.

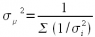
In Bevington's Data Reduction and Error Analysis for the Physical Sciences 2nd Ed. Equation 4.19, the variance of the weighted mean is:
attachment.php?attachmentid=30233&d=1291144713.png


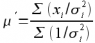
However, Bevington also suggests the use of Equation 4.22 substituted into 4.23 to calculate the variance of the weighted mean:
attachment.php?attachmentid=30234&d=1291144713.png


These two formula are not equivalent (even if weight is defined as the square of the inverse standard deviation).

To muddy the waters even further, a coworker has suggested the following variance calculation:
attachment.php?attachmentid=30235&d=1291145631.png


Could someone explain why these formulae are different when they are all used to calculate the standard deviation of the weighted mean? Do they serve different purposes?
 

Attachments

  • uncertainty_of_weighted_mean.png
    uncertainty_of_weighted_mean.png
    695 bytes · Views: 936
  • Bevington_Eq4.22_into_4.23.png
    Bevington_Eq4.22_into_4.23.png
    900 bytes · Views: 877
  • weighting_formulas.png
    weighting_formulas.png
    2.4 KB · Views: 826
Physics news on Phys.org
Further information:

Equation 4.19 was derived by applying the error propagation equation:

attachment.php?attachmentid=30257&d=1291222596.png


to the equation for the weighted mean:

https://www.physicsforums.com/attachment.php?attachmentid=30258&d=1291222596.

On the other hand, the substitution of Equation 4.22 into Equation 4.23 appears very much like the definition of standard deviation (tweaked for weighted values).

Shouldn't the uncertainty on the weighted mean calculated in Equation 4.19 be identical to the uncertainty calculated by the substitution of Equation 4.22 into 4.23?
 

Attachments

  • error_propagation_equation.png
    error_propagation_equation.png
    1.4 KB · Views: 841
  • weighted_average.png
    weighted_average.png
    977 bytes · Views: 903
I can only provide a lay explanation about which to use, not the mathematical derivation sorry.

The first equation arises when each observation comes from a different probability distribution with known variance \sigmai and we assign weights to the observations based on their known variance such that wi=1/\sigmai^2. Therefore there is no more wi term in the variance formula.


The second equation arises when you do not know the variances of the observations before hand obviously. And actually, without the known variances, you are merely computing an estimate of the variance of the mean, not computing the variance of the mean. It would be more appropriate to write \widehat{\mu}2= ... instead.

The tangible difference between them (if you do not understand estimation theory and are just interested in this for your work...because I do not really understand or can explain it well either) is that the first formula can be calculated before any data is calculated as we are working with presumably known information, but the second formula can only be calculated with the data and their mean.

The third equation...well... I cannot really verify it at the moment but I think N-1 should be used instead of N to correct for biasness. The question is, is the second formula or the third formula a better estimator for variance of mean? I suspect the additional terms are included to correct biasness.

Edit: damn latex I can't figure out the problem with the notation
 
Thank you very much for your reply.

The second equation arises when you do not know the variances of the observations before hand obviously. And actually, without the known variances, you are merely computing an estimate of the variance of the mean, not computing the variance of the mean. It would be more appropriate to write LaTeX Code: \\widehat{\\mu} 2= ... instead.

So the difference between the first equation (4.19) and the second (4.22 into 4.23) is that the first equation (given precisely known variances) will produce the exact variance of the weighted mean but the second equation will produce an estimate of the variance of the weighted mean?

[Edit]:
This raises a practical question: if the weights used to calculate the weighted mean are equal to the inverse square of *estimates* of the variances (obtained by the typical unweighted variance calculations on measured data), is the first or second equation more appropriate?
 
Last edited:
The first one then. But usually when we substitute sample variance into an equation requiring known population variance directly, some correction has to be done depending on the distribution of the data.

For example, the t-test and z-test are both applied on a test on the sample mean, depending on whether the population variance is assumed to be known or unknown.
 
I vaguely recall using those tests before but not for the purpose of correcting data. I'll need to look for a resource to explain how these corrections should be done (any suggestions?).

Thanks again.
 
I was reading a Bachelor thesis on Peano Arithmetic (PA). PA has the following axioms (not including the induction schema): $$\begin{align} & (A1) ~~~~ \forall x \neg (x + 1 = 0) \nonumber \\ & (A2) ~~~~ \forall xy (x + 1 =y + 1 \to x = y) \nonumber \\ & (A3) ~~~~ \forall x (x + 0 = x) \nonumber \\ & (A4) ~~~~ \forall xy (x + (y +1) = (x + y ) + 1) \nonumber \\ & (A5) ~~~~ \forall x (x \cdot 0 = 0) \nonumber \\ & (A6) ~~~~ \forall xy (x \cdot (y + 1) = (x \cdot y) + x) \nonumber...
I'm taking a look at intuitionistic propositional logic (IPL). Basically it exclude Double Negation Elimination (DNE) from the set of axiom schemas replacing it with Ex falso quodlibet: ⊥ → p for any proposition p (including both atomic and composite propositions). In IPL, for instance, the Law of Excluded Middle (LEM) p ∨ ¬p is no longer a theorem. My question: aside from the logic formal perspective, is IPL supposed to model/address some specific "kind of world" ? Thanks.
Back
Top