Engineering Determine the transfer function of the block diagram

AI Thread Summary
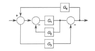
The discussion focuses on determining the transfer function from a block diagram involving components G1, G2, G3, and G4. The first step simplifies the inner block to G1/[1 + G1G2], referred to as "F." The next step combines "F" and G3, leading to the term "K," which is further reduced to T(s) = K / [1 - K*G4]. There is uncertainty about whether G3 should be added or subtracted in the final equation, with participants leaning towards subtraction. The conversation highlights a potential mistake in the proposed solution regarding the treatment of G3.
icesalmon
Messages
270
Reaction score
13
Homework Statement
Determine the transfer function of the block diagram
Relevant Equations
Equations for Block Diagram Algebra
Step 1: I first started by reducing the inside of the block diagram of picture "bd" (the portion with G1 and the negative feedback G2)
I obtained G1/[1 + G1G2]
I'll call this term "F"

Step 2: Then I'm left with two terms feeding into a summing point:
F - G3
I'll call this term "K"

I can reduce this diagram as I did in the first step:

T(s) = K / [1 - K*G4 ]

The solution, on the other hand, is adding G3 to F as indicated in the second picture I've attached
"bd2"
I am not sure if this is a mistake (to add G3 instead of subtracting it) or if I'm not seeing something.
Any help is appreciated, apologies if I've left anything out or made my solution unclear in anyway.
 

Attachments

  • bd.PNG
    bd.PNG
    8.7 KB · Views: 212
  • bd2.PNG
    bd2.PNG
    34.3 KB · Views: 200
Physics news on Phys.org
Has your class covered Mason's gain formula?
 
No, we haven't covered that yet
 
Giving it another look... I personally agree with you with subtracting ##G_3##.
 
Joshy said:
Giving it another look... I personally agree with you with subtracting ##G_3##.
any luck? I think the solution is making a mistake.
 
Thread 'Have I solved this structural engineering equation correctly?'
Hi all, I have a structural engineering book from 1979. I am trying to follow it as best as I can. I have come to a formula that calculates the rotations in radians at the rigid joint that requires an iterative procedure. This equation comes in the form of: $$ x_i = \frac {Q_ih_i + Q_{i+1}h_{i+1}}{4K} + \frac {C}{K}x_{i-1} + \frac {C}{K}x_{i+1} $$ Where: ## Q ## is the horizontal storey shear ## h ## is the storey height ## K = (6G_i + C_i + C_{i+1}) ## ## G = \frac {I_g}{h} ## ## C...
Back
Top