How Many Distinct Positive Integer-Valued Vectors Satisfy This Equation?

AI Thread Summary
The discussion centers on finding the number of distinct positive integer-valued vectors (x1, x2, ..., x6) that satisfy the equation x1 + x2 + ... + x6 = 12, given that two of the xi must equal 1. Participants express frustration over homework policies in the forum, emphasizing the need for users to demonstrate understanding and show their work before seeking help. There is also a separate inquiry about the Kendall coefficient, specifically how to calculate Smax for a dissertation, with requests for guidance on the necessary steps. The conversation highlights the challenges of balancing assistance with educational integrity in academic forums. Overall, the thread reflects a mix of mathematical inquiry and discussions on forum etiquette.
anik18
Messages
9
Reaction score
0
how many distinct positive integer- valued vectors (x1 , x2 , . . . , x6) satisfying
x1+ x2+. . .+x6 = 12 if 2 of xi must be = 1 ?

please help this question

book: A First Course in Probability (7th) by Ross
 
Physics news on Phys.org
You agreed to abide by the rules when you joined Physics Forums. You have now posted several homework problems that specifically say "no homework". Moreover, you have not shown any understanding of the problem (what are the relevant equations?) or shown any work.
 
some of the homework i am unable to do. Then what is the benefit of opening the forum website. they have to help someone to solve their problems not always showing their own answers.
 
no one is required to help. And there is an homework forum
 
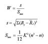
Kendall coefficient

Could you please help me in the Kendall concordance of coefficient?
The Kendall coefficient figure has been shown in the attached file.
My question is how can we get the figure Smax? What is the start and what kind of steps are to get this formula?
If you have this steps could you please send me. It is very urgent to me.

Thank you.
J
 

Attachments

  • kendall.jpg
    kendall.jpg
    4.3 KB · Views: 549
Hi, EnumaElish
The usage of Kendall coefficient was an instruction to develop something in my dissertation and my consultant question was the above.

I didn't find anywhere.

Regards,
J
 
Back
Top