goody1
- 16
- 0
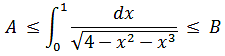
Hello everyone, I have to find an interval of this Riemann integral. Does anybody know the easiest way how to do it? I think we need to do something with denominator, enlarge it somehow. My another guess is the integral is always larger than 0 (A=0) because the whole function is still larger than 0 on interval from 0 to 1. Thank you in advance.