Show Lorentz invariance for Euler-Lagrange's equations- how?

Bapelsin
Messages
12
Reaction score
0
Hello,

I need help showing that the Euler-Lagrange equations are Lorentz invariant (if Einstein's extended energy concept is used). Is there an easy way to show this? Any help would be very much appreciated.
 
Physics news on Phys.org
This and a lot more of that you can find in a book by Greiner called relativistic quantum mechanics. Good luck!
 
Bapelsin said:
I need help showing that the Euler-Lagrange equations are Lorentz invariant

Welcome to PF.
The E-L equations are statements derived covariantly from an invariant action integral. Therefore they are covariant with respect to Lorentz group.

(if Einstein's extended energy concept is used).

What is this, and what relation does it have with the Euler-Lagrange equations?


sam
 
Gigi: Thanks for your tip, but I don't think I can obtain that book soon enough. But maybe later. :-)

samalkhaiat: Thank you! First of all I want to tell you that I am more or less a layman when it comes to this (I haven't studied natural sciences for almost three years, and I'm I only half-way to obtain a MSc degree in engineering physics) so I'm not sure I'm following you completely. So covariances and tensors and even less group theory etc. isn't my strong side. This was originally supposed to serve as a short background for a philosophical paper in science theory.

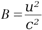
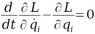
My physics professor tells me I'm right concerning this, but I don't know how to show this. As I don't know how to insert formulas here, I'm attaching the relevant ones as .GIF images. By extended energy concept I simply mean the famous formula E = mc².
 

Attachments

  • Euler-Lagrange.GIF
    Euler-Lagrange.GIF
    1.2 KB · Views: 536
  • Relativistic-Lagrangian.GIF
    Relativistic-Lagrangian.GIF
    866 bytes · Views: 535
  • Beta.GIF
    Beta.GIF
    461 bytes · Views: 580
I forgot to mention that my main problem is that I don't know how a Lorentz' transformation in generalized coordinates look like. I've only dealt with such in Cartesian coordinates (Google etc. doesn't help me out much at all with this).
 
Last edited:
I asked a question here, probably over 15 years ago on entanglement and I appreciated the thoughtful answers I received back then. The intervening years haven't made me any more knowledgeable in physics, so forgive my naïveté ! If a have a piece of paper in an area of high gravity, lets say near a black hole, and I draw a triangle on this paper and 'measure' the angles of the triangle, will they add to 180 degrees? How about if I'm looking at this paper outside of the (reasonable)...
Thread 'Relativity of simultaneity in actuality'
I’m attaching two figures from the book, Basic concepts in relativity and QT, by Resnick and Halliday. They are describing the relativity of simultaneity from a theoretical pov, which I understand. Basically, the lightning strikes at AA’ and BB’ can be deemed simultaneous either in frame S, in which case they will not be simultaneous in frame S’, and vice versa. Only in one of the frames are the two events simultaneous, but not in both, and this claim of simultaneity can be done by either of...

Similar threads

Back
Top