MHB Simplify a fractional expression

AI Thread Summary
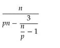
The discussion centers on simplifying a fractional expression in algebra II. The initial inquiry seeks assistance in simplifying the expression, which is identified as a symbolic expression rather than a question. A suggested simplification is presented, indicating that $\frac{n}{p} - 1$ can be rewritten as $\frac{n - p}{p}$. The conversation then prompts further exploration of simplifying the denominator. Overall, the focus remains on algebraic simplification techniques.
breakfree
Messages
1
Reaction score
0
View attachment 8071

Please help with this algebra II question. It needs to be simplified. Thank you.
 

Attachments

  • unnamed (31).jpg
    unnamed (31).jpg
    2.7 KB · Views: 138
Last edited:
Mathematics news on Phys.org
Hello and welcome,

This is not a question, but rather a symbolic expression.

Would you like the expression simplified? One way is to note that $\frac{n}{p} - 1 = \frac{n - p}{p}$. How can you now simplify the denominator further?
 
Last edited:
Seemingly by some mathematical coincidence, a hexagon of sides 2,2,7,7, 11, and 11 can be inscribed in a circle of radius 7. The other day I saw a math problem on line, which they said came from a Polish Olympiad, where you compute the length x of the 3rd side which is the same as the radius, so that the sides of length 2,x, and 11 are inscribed on the arc of a semi-circle. The law of cosines applied twice gives the answer for x of exactly 7, but the arithmetic is so complex that the...
Back
Top