MHB Simplifying rational expressions

AI Thread Summary
The discussion revolves around simplifying rational expressions and verifying answers to specific problems. Participants confirm the answers of 20/3 and -20/3 while requesting the problems to be formatted in LaTeX for clarity. There is a suggestion to re-post the last two questions in a new thread to maintain organization. The importance of using LaTeX for mathematical expressions is emphasized as a way to enhance readability. Overall, the conversation highlights the need for clear communication in mathematical problem-solving.
Alexstrasuz1
Messages
20
Reaction score
0
If its not problem for you to check these last two. I got no more of these.
If you have some kind a book with tasks like this on internet I would love to print it out so I can have some fun.
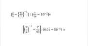
View attachment 3008

1ST answer 20/3
2ND answer -20/3
 

Attachments

  • MATH3.jpg
    MATH3.jpg
    73.2 KB · Views: 104
Mathematics news on Phys.org
I'd appreciate it if you could type the problems and your answers up in $\LaTeX$, that would make your problems more readable for us.:) For these last two problems, I couldn't tell if the first problem mentions of $\left(\dfrac{2}{5}-\left( 6\dfrac{3}{7}\right)^{-1}\right):\left(\dfrac{1}{50}-10^{-2}\right)$, because if that is the case, then your answer isn't correct.

I know $LaTeX$ might be a foreign language for you, but it's really very easy to learn how to type a simple mathematical expression using $LaTeX$, for starter, if you want to type $\dfrac{2}{5}$, you need to latex code of \dfrac{2}{5}, enclosed with a pair of the dollar signs. If you want $10^2$, you just type 10^2, enclosed it with a pair of the dollar signs but if the exponent consists of more than two "characters", just as in $10^{-2}$, you need to put the pair of curly braces{} around the exponent.

Do you want to take a stab at it and re-post your last two questions here?
 
Alexstrasuz said:
If its not problem for you to check these last two. I got no more of these...

I have moved your new questions into a new thread. We ask that new questions be posted in a new thread as tagging new question onto an existing thread can make the thread become convoluted and hard to follow. :D
 

Attachments

  • mathemathicsa3.png
    mathemathicsa3.png
    3.4 KB · Views: 89
Alexstrasuz said:
View attachment 3009

Done in word
I agree with your answers, $20/3$ and $-20/3$.
 
Seemingly by some mathematical coincidence, a hexagon of sides 2,2,7,7, 11, and 11 can be inscribed in a circle of radius 7. The other day I saw a math problem on line, which they said came from a Polish Olympiad, where you compute the length x of the 3rd side which is the same as the radius, so that the sides of length 2,x, and 11 are inscribed on the arc of a semi-circle. The law of cosines applied twice gives the answer for x of exactly 7, but the arithmetic is so complex that the...

Similar threads

Back
Top