MHB Solve $\sin(\alpha + \beta)$: Answer #41

  • Thread starter Thread starter karush
  • Start date Start date
AI Thread Summary
The discussion focuses on solving the equation for $\sin(\alpha + \beta)$ using the sine addition formula, leading to the conclusion that $f(\alpha + \beta) = \frac{1 - 2\sqrt{6}}{6}$. The values of $\sin(\alpha)$ and $\cos(\beta)$ are derived from given graphs, resulting in $\sin(\alpha) = \frac{1}{2}$ and $\sin(\beta) = -\frac{2\sqrt{2}}{3}$. Additionally, a separate problem involving $\sin(2\theta) = \frac{1}{3}$ is introduced, with solutions in quadrants I and II, emphasizing the periodic nature of the sine function. The discussion concludes with a clarification on the use of $\arccos\left(\frac{1}{3}\right)$ to find the complementary angle to $\alpha$.
karush
Gold Member
MHB
Messages
3,240
Reaction score
5
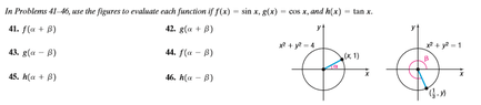
View attachment 7029

trying to do #41

\begin{align*}\displaystyle
\sin(\alpha + \beta)
&=\sin\alpha \cos \beta
+\cos \alpha \sin \beta\\
&=
\frac{1}{4}\cdot\frac{3}{1}
+\frac{\sqrt{15}}{4}\cdot \frac{\sqrt{10}}{3}
\end{align*}

ok the book answer to this was

$$f(\alpha + \beta)=\frac{1-2\sqrt{6}}{6}$$

but I couldn't derive this
 

Attachments

  • 8.3.41.PNG
    8.3.41.PNG
    6.3 KB · Views: 127
Mathematics news on Phys.org
From the graph on the left, we have:

$$2\sin(\alpha)=1\implies \sin(\alpha)=\frac{1}{2}$$-

Hence:

$$\cos(\alpha)=\sqrt{1-\left(\frac{1}{2}\right)^2}=\frac{\sqrt{3}}{2}$$

And from the graph on the right:

$$\cos(\beta)=\frac{1}{3}$$

Hence (observing the terminal side of the angle is in the 4th quadrant):

$$\sin(\beta)=-\sqrt{1-\left(\frac{1}{3}\right)^2}=-\frac{2\sqrt{2}}{3}$$

And so we find:

$$f(\alpha+\beta)=\sin(\alpha+\beta)=\sin(\alpha)\cos(\beta)+\cos(\alpha)\sin(\beta)=\frac{1}{2}\cdot\frac{1}{3}-\frac{\sqrt{3}}{2}\cdot\frac{2\sqrt{2}}{3}=\frac{1-2\sqrt{6}}{6}$$
 
ok I had r=4 not r=2

(Headbang)ok if I can sneak another one in here

$$\displaystyle\sin\left({2\theta}\right)= \frac{1}{3}$$
$$3\sin\left({2\theta}\right) = 1$$

then ?
 
karush said:
ok I had r=4 not r=2

(Headbang)ok if I can sneak another one in here

$$\displaystyle\sin\left({2\theta}\right)= \frac{1}{3}$$
$$3\sin\left({2\theta}\right) = 1$$

then ?

I'm assuming you are to solve for $\theta$...in which case I would observe that there are solutions in quadrant I and quadrant II, and they are symmetrical about $$\alpha=\frac{\pi}{2}$$, and we must keep the periodicity of the sine function in mind, hence:

$$2\theta=\left(\frac{\pi}{2}\pm\arccos\left(\frac{1}{3}\right)\right)+2k\pi$$ where $k\in\mathbb{Z}$

And so we have:

$$\theta=\frac{1}{2}\left(\frac{\pi}{2}\pm\arccos\left(\frac{1}{3}\right)\right)+k\pi=\frac{\pi}{4}(4k+1)\pm\frac{1}{2}\arccos\left(\frac{1}{3}\right)$$
 
why $\arccos\left(\frac{1}{3}\right)$ ?
 
karush said:
why $\arccos\left(\frac{1}{3}\right)$ ?

If we have:

$$\sin(\alpha)=\frac{1}{3}$$

But, we want the angle between the terminal side of $\alpha$ and $$\frac{\pi}{2}$$...that is we want the complementary angle to $\alpha$. :)
 
Seemingly by some mathematical coincidence, a hexagon of sides 2,2,7,7, 11, and 11 can be inscribed in a circle of radius 7. The other day I saw a math problem on line, which they said came from a Polish Olympiad, where you compute the length x of the 3rd side which is the same as the radius, so that the sides of length 2,x, and 11 are inscribed on the arc of a semi-circle. The law of cosines applied twice gives the answer for x of exactly 7, but the arithmetic is so complex that the...
Is it possible to arrange six pencils such that each one touches the other five? If so, how? This is an adaption of a Martin Gardner puzzle only I changed it from cigarettes to pencils and left out the clues because PF folks don’t need clues. From the book “My Best Mathematical and Logic Puzzles”. Dover, 1994.
Thread 'Imaginary Pythagoras'
I posted this in the Lame Math thread, but it's got me thinking. Is there any validity to this? Or is it really just a mathematical trick? Naively, I see that i2 + plus 12 does equal zero2. But does this have a meaning? I know one can treat the imaginary number line as just another axis like the reals, but does that mean this does represent a triangle in the complex plane with a hypotenuse of length zero? Ibix offered a rendering of the diagram using what I assume is matrix* notation...

Similar threads

Replies
4
Views
2K
Replies
2
Views
6K
Replies
4
Views
1K
Replies
5
Views
3K
Replies
7
Views
1K
Replies
5
Views
2K
Replies
1
Views
2K
Back
Top