MHB Solving Cubic Root Algebra: Don't Know the Steps

AI Thread Summary
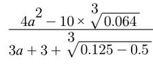
The discussion centers around confusion regarding the steps to solve a cubic root algebra problem. The main point of contention is the assertion that "a is not supposed to be -1," which is highlighted as a critical rule in the equation. Participants express uncertainty about the validity of the equation leading to the answer shown in a referenced image. One user suggests that a typo may exist, particularly questioning the expression involving the cubic root of 0.125. Overall, clarity on the steps and correctness of the equation is sought.
STS
Messages
5
Reaction score
0
I don't understand this.
a is not suppose to be -1; this is the only rule in the equation
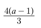
The answer is the second picture, I just don't know the steps that lead to that answer.
View attachment 8926
 

Attachments

  • 9CF9CCB6-D594-44E5-8980-651A512FD6DD.jpeg
    9CF9CCB6-D594-44E5-8980-651A512FD6DD.jpeg
    9.5 KB · Views: 119
  • F124AFBD-F35E-4E44-81AF-3136409AF46D.jpeg
    F124AFBD-F35E-4E44-81AF-3136409AF46D.jpeg
    2.7 KB · Views: 111
Mathematics news on Phys.org
STS said:
I don't understand this.
a is not suppose to be -1; this is the only rule in the equation
The answer is the second picture, I just don't know the steps that lead to that answer.
In order for this to be correct we would need [math]\sqrt[3]{ 0.125 - 0.5 } = 0[/math], which clearly isn't true. Is there a typo?

-Dan
 
Hi STS.

You probably mean the following expression:
$$\frac{4a^2-10\times\sqrt[3]{0.064}}{3a+3+{\color{red}\sqrt[3]{0.125}}-0.5}.$$
 
Seemingly by some mathematical coincidence, a hexagon of sides 2,2,7,7, 11, and 11 can be inscribed in a circle of radius 7. The other day I saw a math problem on line, which they said came from a Polish Olympiad, where you compute the length x of the 3rd side which is the same as the radius, so that the sides of length 2,x, and 11 are inscribed on the arc of a semi-circle. The law of cosines applied twice gives the answer for x of exactly 7, but the arithmetic is so complex that the...
Back
Top