Estelle
- 1
- 0
Hey guys,
need your help and hope someone takes the time:
I need to solve the double integral by changing the order of Integration.
View attachment 4966
I would really appreciate if you could illustrate the way of how to compute the solution.
Best
Estelle :)
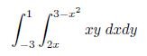
need your help and hope someone takes the time:
I need to solve the double integral by changing the order of Integration.
View attachment 4966
I would really appreciate if you could illustrate the way of how to compute the solution.
Best
Estelle :)