Cardinality
- 17
- 0
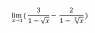
The problem: (See attachment)
I rationalize the numerator and then simplify to get:
lim (3(1+sqrtx) - 2(1+cubert(x)))/(1-x)
x->1 However, I do not know what to do after this point. If someone could please help me out, that would be great!
Thank you!
P.S: Look carefully at the attachment, and note that the second denominator has x^(1/3).
I rationalize the numerator and then simplify to get:
lim (3(1+sqrtx) - 2(1+cubert(x)))/(1-x)
x->1 However, I do not know what to do after this point. If someone could please help me out, that would be great!
Thank you!
P.S: Look carefully at the attachment, and note that the second denominator has x^(1/3).
Attachments
Last edited:
