What is the magnitude of the electric field (rod)?

AI Thread Summary
The discussion revolves around calculating the electric field between two uniformly charged glass rods that are 4.70 cm apart and 11.3 cm long, each charged to +10.4 nC. A participant initially calculated the electric field magnitude as -1.21*10^5 N/C but expressed confusion about the validity of treating the rods as infinitely long. Others pointed out that the formula used is applicable only for infinitely long rods, suggesting that the finite length of the rods should be considered. The conversation highlights the need for a different approach or calculus to accurately determine the electric field for rods of finite length. Understanding the limitations of the equations used is crucial for solving the problem correctly.
sunnnystrong
Messages
54
Reaction score
6

Homework Statement


Two thin glass rods are placed side by side 4.70 cm apart as shown in the diagram below. They are each 11.3 cm long and are uniformly charged to +10.4 nC .

Answer the questions below regarding the electric field along a line which is drawn through the middle of the two glass rods (labeled Bisector in the diagram).

(Figure 1)

Homework Equations


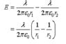
*See attached file for relevant equations*

The Attempt at a Solution



Length = 0.113 m
λ = 9.20×10^−8 C/m
Eo = 8.85*10^-12
r1 = 0.037m
r2 = 0.01m

Using the attached equation... I got -1.21*10^5 N/C ... the magnitude of the field is 1.21*10^5 N/C

I know this is wrong but I am confused as to why?
 

Attachments

  • 222-5-1_Glass_Rods.png
    222-5-1_Glass_Rods.png
    1.6 KB · Views: 475
  • Capture.JPG
    Capture.JPG
    5.2 KB · Views: 460
Physics news on Phys.org
Are you allowed to treat the rods as infinitely long?
 
TSny said:
Are you allowed to treat the rods as infinitely long?

Honestly, I have no idea. I am confused about how to set this problem up but found this equation in my book.
 
TSny said:
Are you allowed to treat the rods as infinitely long?
I would think not though as they gave you the length of the rods ?
 
sunnnystrong said:
I would think not though as they gave you the length of the rods ?
I tend to agree with you, that they do not want you to approximate the rods as infinitely long. But the formula for E that you are using is for an infinitely long rod.

Do you have an idea of how to handle the case of a rod of finite length? Are you using calculus in your course?
 
Thread 'Voltmeter readings for this circuit with switches'
TL;DR Summary: I would like to know the voltmeter readings on the two resistors separately in the picture in the following cases , When one of the keys is closed When both of them are opened (Knowing that the battery has negligible internal resistance) My thoughts for the first case , one of them must be 12 volt while the other is 0 The second case we'll I think both voltmeter readings should be 12 volt since they are both parallel to the battery and they involve the key within what the...
Thread 'Struggling to make relation between elastic force and height'
Hello guys this is what I tried so far. I used the UTS to calculate the force it needs when the rope tears. My idea was to make a relationship/ function that would give me the force depending on height. Yeah i couldnt find a way to solve it. I also thought about how I could use hooks law (how it was given to me in my script) with the thought of instead of having two part of a rope id have one singular rope from the middle to the top where I could find the difference in height. But the...
Back
Top