Why Is My Attenuator Resistor Value Negative?

  • Thread starter Thread starter fran1942
  • Start date Start date
  • Tags Tags
    Formulas Resistor
AI Thread Summary
A negative resistor value in an attenuator calculation indicates that the impedance matching cannot be achieved with the desired attenuation. This typically occurs when the source and load impedances are not compatible with the chosen attenuation level. The minimum attenuation is determined by the input and load impedances, and if the desired attenuation is below this threshold, an alternative matching circuit may be required. It's essential to verify that the chosen parameters meet the necessary criteria for proper impedance matching. Understanding these limitations is crucial for designing effective attenuator circuits.
fran1942
Messages
80
Reaction score
0
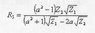
Hello, I am trying to work out the resistor values for an 'O' attenuator.
I am using the attached formula to work out resistor 3's value.
My values to insert into this formula are:

Input impedance (Z1) = 50 Ohm
Load impedance (Z2) = 600 Ohm
a =1.995

However when I substitute these figures I am getting a negative number result.
Obviously I can't have a negative Ohm resitor, so how do you interpret that ?

Thanks for any help
 

Attachments

  • form.jpg
    form.jpg
    6 KB · Views: 442
  • oatt.jpg
    oatt.jpg
    20.6 KB · Views: 438
Last edited:
Physics news on Phys.org
Your circuit diagram looks like that of a ##\Pi## attenuator, not an O-pad.

There's a minimum attenuation that is determined by the source and load impedances. Have you checked to see whether or not your "a" value meets this criterion?
 
sorry, I attached the wrong image.
This is the O-pad attachment.

What does it mean when I get a negative value from one of the resistor formula calculations (as I am in this case).
Obviously I can't have negative Ohm resistors ?
 

Attachments

  • pad.jpg
    pad.jpg
    22.7 KB · Views: 426
fran1942 said:
sorry, I attached the wrong image.
This is the O-pad attachment.

What does it mean when I get a negative value from one of the resistor formula calculations (as I am in this case).
Obviously I can't have negative Ohm resistors ?

Usually it means that you can't match the impedances while achieving the desired attenuation. There's a minimum amount of attenuation incurred when matching impedances that are not close; if your desired attenuation is less than this then some other type of matching circuit would be necessary.
 
Thread 'Have I solved this structural engineering equation correctly?'
Hi all, I have a structural engineering book from 1979. I am trying to follow it as best as I can. I have come to a formula that calculates the rotations in radians at the rigid joint that requires an iterative procedure. This equation comes in the form of: $$ x_i = \frac {Q_ih_i + Q_{i+1}h_{i+1}}{4K} + \frac {C}{K}x_{i-1} + \frac {C}{K}x_{i+1} $$ Where: ## Q ## is the horizontal storey shear ## h ## is the storey height ## K = (6G_i + C_i + C_{i+1}) ## ## G = \frac {I_g}{h} ## ## C...
Back
Top