Why is this result different? (calculating the sides of a triangle)

AI Thread Summary
The discussion revolves around a discrepancy in calculating the sides of a triangle using the area formula A=ab/2 and trigonometric relationships. The original poster calculated side b as 7.42 and side a as 9.28, but the textbook provided a different value for a, 5.93, leading to confusion. After further discussion, it was revealed that the poster mistakenly plugged in the value of a instead of b and divided by 0.8 instead of multiplying, resulting in incorrect calculations. The poster acknowledged the error and expressed gratitude for the assistance. This highlights the importance of careful variable management in mathematical problem-solving.
Callmelucky
Messages
144
Reaction score
30
Homework Statement
Given the surface area of the right triangle = 22 cm^2 and one of his angles is 38°40'.
Calculate his other sides.
Relevant Equations
A=ab/2, tan(38°40')=b/a
so basically, here is a photo from the textbook(in attachments) and I'll write here how I did it. In my opinion, results should have been the same, but for some reason, they differ. So, if anyone can tell me what I am doing wrong I would appreciate it since I can't find mistakes caused by wrong calculations then it must be something conceptual that does not apply here, which is weird.
This is how I did it:
##A=\frac{ab}{2}## I wrote one side(b) using angle and the other side(a) like this: tan(38°40')=b/a --> 0.8a=b and then I plugged that in the formula for the surface of the triangle, after which I got b= 7.42. Which is the same as in solutions, this second part is what confuses me.

To calculate a, I just plugged b in 0.8a=b and got a=9.28. But in the textbook, b is plugged back in the formula for triangle surface and they got a = 5.93. After that our hypotenuses differ as well(obviously).
pf123.jpg
 
Last edited by a moderator:
Physics news on Phys.org
Callmelucky said:
here is a photo
Where?
 
phinds said:
Where?
in attachments, don't know why you can't see it, it's shown to me
 

Attachments

  • pf123.jpg
    pf123.jpg
    14.4 KB · Views: 148
I've edited your attachment to make it full size.

Callmelucky said:
This is how I did it:
##A=\frac{ab}{2}## I wrote one side(b) using angle and the other side(a) like this: tan(38°40')=b/a --> 0.8a=b and then I plugged that in the formula for the surface of the triangle, after which I got b= 7.42. Which is the same as in solutions, this second part is what confuses me.

To calculate a, I just plugged b in 0.8a=b and got a=9.28. But in the textbook, b is plugged back in the formula for triangle surface and they got a = 5.93.
Since your answer for b agreed with the one in your textbook, just use it and the given area to solve for a.
##22 = \frac 1 2 a \cdot 7.42 \Rightarrow 7.42 a = 22##
Doing this, the value I got for a, rounded to two decimal places was 5.93.
 
  • Like
Likes Callmelucky
Callmelucky said:
Homework Statement:: Given the surface area of the right triangle = 22 cm^2 and one of his angles is 38°40'.
Calculate his other sides.
Relevant Equations:: A=ab/2, tan(38°40')=b/a

so basically, here is a photo from the textbook(in attachments) and I'll write here how I did it. In my opinion, results should have been the same, but for some reason, they differ. So, if anyone can tell me what I am doing wrong I would appreciate it since I can't find mistakes caused by wrong calculations then it must be something conceptual that does not apply here, which is weird.
This is how I did it:
##A=\frac{ab}{2}## I wrote one side(b) using angle and the other side(a) like this: tan(38°40')=b/a --> 0.8a=b and then I plugged that in the formula for the surface of the triangle, after which I got b= 7.42. Which is the same as in solutions, this second part is what confuses me.

To calculate a, I just plugged b in 0.8a=b and got a=9.28. But in the textbook, b is plugged back in the formula for triangle surface and they got a = 5.93. After that our hypotenuses differ as well(obviously).
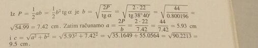
Textbook solution:
pf123-jpg.jpg


You said:
I wrote one side(b) using angle and the other side(a) like this: tan(38°40')=b/a --> 0.8a=b and then I plugged that in the formula for the surface of the triangle, after which I got b= 7.42.
Show the details of what you plugged into ##\displaystyle A=\frac{ab}{2}## to get ##b##.

(I suspect that you actually found that ##a=7.42## cm.)
 
  • Like
Likes Callmelucky
Mark44 said:
I've edited your attachment to make it full size.Since your answer for b agreed with the one in your textbook, just use it and the given area to solve for a.
##22 = \frac 1 2 a \cdot 7.42 \Rightarrow 7.42 a = 22##
Doing this, the value I got for a, rounded to two decimal places was 5.93.
I got that too, but the way I solved it first time is also correct, that is why I posted question
 
SammyS said:
Textbook solution:
View attachment 323523

You said:

Show the details of what you plugged into ##\displaystyle A=\frac{ab}{2}## to get ##b##.

(I suspect that you actually found that ##a=7.42## cm.)
I found my mistake. What an idiot I am. I plugged the value of (a) instead of (b), and instead of multiplying with 0.8 I divided it by 0.8, therefore got the wrong result. I am sorry for waisting everybody's time. Thank you.
 
Back
Top