LesRhorer
- 27
- 4
- TL;DR Summary
- A gravity assist is not a two body problem. It is a three body problem, but this i not clear to many people.
I am having a discussion with a couple of very obtuse individuals on another forum who think they know celestial mechanics, but do not. These two have long promoted themselves to be something they are not, and since I am rather new on the forum they are unwilling to even listen (or heaven forbid admit they are wrong), and much of the rest of the forum believes their story, since none of the rest are physicists. It would be absolutely wonderful if someone here with official credentials could back me up in the discussion. The most wonderful support would be if someone could devote just a few minutes to join in a voice chat or provide a very short video covering the situation. Barring that, a brief message clearly explaining the situation would suffice. Great thanks in advance for any help. Note I do know a moderate bit of Physics. I studied Mathematical and Applied Physics for four years starting in 1977 before deciding to quit and enter industry.
For simplicity we will, assume purely gravitational interactions. No rocket engines will be fired. All the objects are simple spheres of uniform density with no significant atmospheres.
The two body problem:
We have two objects P(rimary) and V(ehicle). Object P has a very large mass and V a comparatively small mass so the force applied by V to P throughout its trajectory is insignificant. P is not accelerating (it is in free space). We know the force between the objects at any point throughout V's trajectory is:
We also know the energy added to or taken away from V as it heads toward and away from P, respectively, is given by:
(F and R are both vectors, of course, and the integrand is a scalar product, but I don't know how to show vectors or dot products here.) If we take k to be the distance for perigee of V from P, and we take l to be some arbitrary distance from P along V's path, then the kinetic energy gain by V on its inbound path is
it's outbound loss in energy is
but that is equal to
The total energy change, then, from any point along V's inbound path to a point along the outbound path with the same displacement is
Since in any neutral two body system there is no other force than this one gravitational attraction, this is the only source of energy or momentum in the system. Unlike the two correspondents believe, changing the frame of reference has no mechanical effect. It is of course true one can easily change the initial and final values of the velocity vectors for V, the CHANGE in energy, speed, and magnitude of the momentum is zero for all inertial reference frames. One gains nothing other than a change in direction, so there is no point in swinging around a free body in space in an attempt to increase velocity. In addition, although P can have any arbitrary velocity we like relative to some external frame of reference,it has zero orbital angular momentum, so the vector product of V's orbital angular momentum with P's is zero, meaning the entire path of V's orbit is contained within a single orbital plain. This is true whether V's orbit is elliptical (below P's escape velocity) or hyperbolic (above P's escape velocity).
The three body problem:
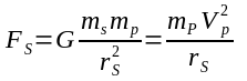
If we add in a third, extremely large body S, then of course we have a three body problem. Now, classical three body problems can be devilishly difficult to solve, but we have already taken V to be small enough to have negligible effect on P, let alone S, and S is also taken to be large enough that P has no significant effect on it. We just now calculated the behavior of the V/P system about it's barycenter (effectively the center of mass of P), but now we see the entire V/P system is also orbiting S. This motion is not a linear motion and so is not frame dependent. It is unique. In particular, for a circular orbit:
Rearranging, we get:
This is the gravitational field strength due to S at the V/P system's orbit. Note this value is the same for every object at this distance from S. It is completely independent of the mass of any object other than S. Solving for the orbital velocity we get:
In the case of our Sun, at Mars' orbit, the value is about 24,130 meters/sec, or about 54,000 mph. For a rule of thumb, this is the amount of speed boost one may obtain in a slingshot maneuver with Mars. For Jupiter, it s about 29,000 mph The Voyager spacecraft had initial velocities of around 35,000 mph, but after encounters with a couple of planets (PLANETS, not free bodies) their velocities were able to exceed solar escape velocity, which would be the equivalent of travelling more than 94,000 mph leaving Earth orbit, or an effective increase of considerably more than 60,000 mph by flying near the outer planets. If it had flown near a huge body out in free space, it would have experienced zero increase in speed.
Furthermore, the planets and any small body near them, because they are in orbit around the Sun, have angular momentum, and the vector product of the angular moment of the system's orbit and V's angular moment can result not only is a large increase or decrease in speed WRT the Sun, it can produce a resultant acceleration with a component perpendicular to V's original orbit, meaning the vehicle can exit the plane of the ecliptic. This precisely what Voyager I did, and it is now on a trajectory inclined some 35 degrees to the plane of the ecliptic.
There are a virtual plethora of discussions on this topic around the web (and even on this forum), but all of them pretty much gloss over the fact there absolutely must be a third very large body involved. They all pretty much talk about planets or moons, but none explicitly point out it can ONLY be done with a planetary body. So is there anyone here that would care to join me for a few minutes to back me up in a discussion on this topic? Barring that, can someone here provide at least a message affirming the things I have demonstrated here? A direct quote from a textbook on celestial mechanics would work very well, also
For simplicity we will, assume purely gravitational interactions. No rocket engines will be fired. All the objects are simple spheres of uniform density with no significant atmospheres.
The two body problem:
We have two objects P(rimary) and V(ehicle). Object P has a very large mass and V a comparatively small mass so the force applied by V to P throughout its trajectory is insignificant. P is not accelerating (it is in free space). We know the force between the objects at any point throughout V's trajectory is:
We also know the energy added to or taken away from V as it heads toward and away from P, respectively, is given by:
(F and R are both vectors, of course, and the integrand is a scalar product, but I don't know how to show vectors or dot products here.) If we take k to be the distance for perigee of V from P, and we take l to be some arbitrary distance from P along V's path, then the kinetic energy gain by V on its inbound path is
it's outbound loss in energy is
but that is equal to
The total energy change, then, from any point along V's inbound path to a point along the outbound path with the same displacement is
Since in any neutral two body system there is no other force than this one gravitational attraction, this is the only source of energy or momentum in the system. Unlike the two correspondents believe, changing the frame of reference has no mechanical effect. It is of course true one can easily change the initial and final values of the velocity vectors for V, the CHANGE in energy, speed, and magnitude of the momentum is zero for all inertial reference frames. One gains nothing other than a change in direction, so there is no point in swinging around a free body in space in an attempt to increase velocity. In addition, although P can have any arbitrary velocity we like relative to some external frame of reference,it has zero orbital angular momentum, so the vector product of V's orbital angular momentum with P's is zero, meaning the entire path of V's orbit is contained within a single orbital plain. This is true whether V's orbit is elliptical (below P's escape velocity) or hyperbolic (above P's escape velocity).
The three body problem:
If we add in a third, extremely large body S, then of course we have a three body problem. Now, classical three body problems can be devilishly difficult to solve, but we have already taken V to be small enough to have negligible effect on P, let alone S, and S is also taken to be large enough that P has no significant effect on it. We just now calculated the behavior of the V/P system about it's barycenter (effectively the center of mass of P), but now we see the entire V/P system is also orbiting S. This motion is not a linear motion and so is not frame dependent. It is unique. In particular, for a circular orbit:
Rearranging, we get:
This is the gravitational field strength due to S at the V/P system's orbit. Note this value is the same for every object at this distance from S. It is completely independent of the mass of any object other than S. Solving for the orbital velocity we get:
In the case of our Sun, at Mars' orbit, the value is about 24,130 meters/sec, or about 54,000 mph. For a rule of thumb, this is the amount of speed boost one may obtain in a slingshot maneuver with Mars. For Jupiter, it s about 29,000 mph The Voyager spacecraft had initial velocities of around 35,000 mph, but after encounters with a couple of planets (PLANETS, not free bodies) their velocities were able to exceed solar escape velocity, which would be the equivalent of travelling more than 94,000 mph leaving Earth orbit, or an effective increase of considerably more than 60,000 mph by flying near the outer planets. If it had flown near a huge body out in free space, it would have experienced zero increase in speed.
Furthermore, the planets and any small body near them, because they are in orbit around the Sun, have angular momentum, and the vector product of the angular moment of the system's orbit and V's angular moment can result not only is a large increase or decrease in speed WRT the Sun, it can produce a resultant acceleration with a component perpendicular to V's original orbit, meaning the vehicle can exit the plane of the ecliptic. This precisely what Voyager I did, and it is now on a trajectory inclined some 35 degrees to the plane of the ecliptic.
There are a virtual plethora of discussions on this topic around the web (and even on this forum), but all of them pretty much gloss over the fact there absolutely must be a third very large body involved. They all pretty much talk about planets or moons, but none explicitly point out it can ONLY be done with a planetary body. So is there anyone here that would care to join me for a few minutes to back me up in a discussion on this topic? Barring that, can someone here provide at least a message affirming the things I have demonstrated here? A direct quote from a textbook on celestial mechanics would work very well, also
Attachments
Last edited:
